Laatste update :
18/03/2026
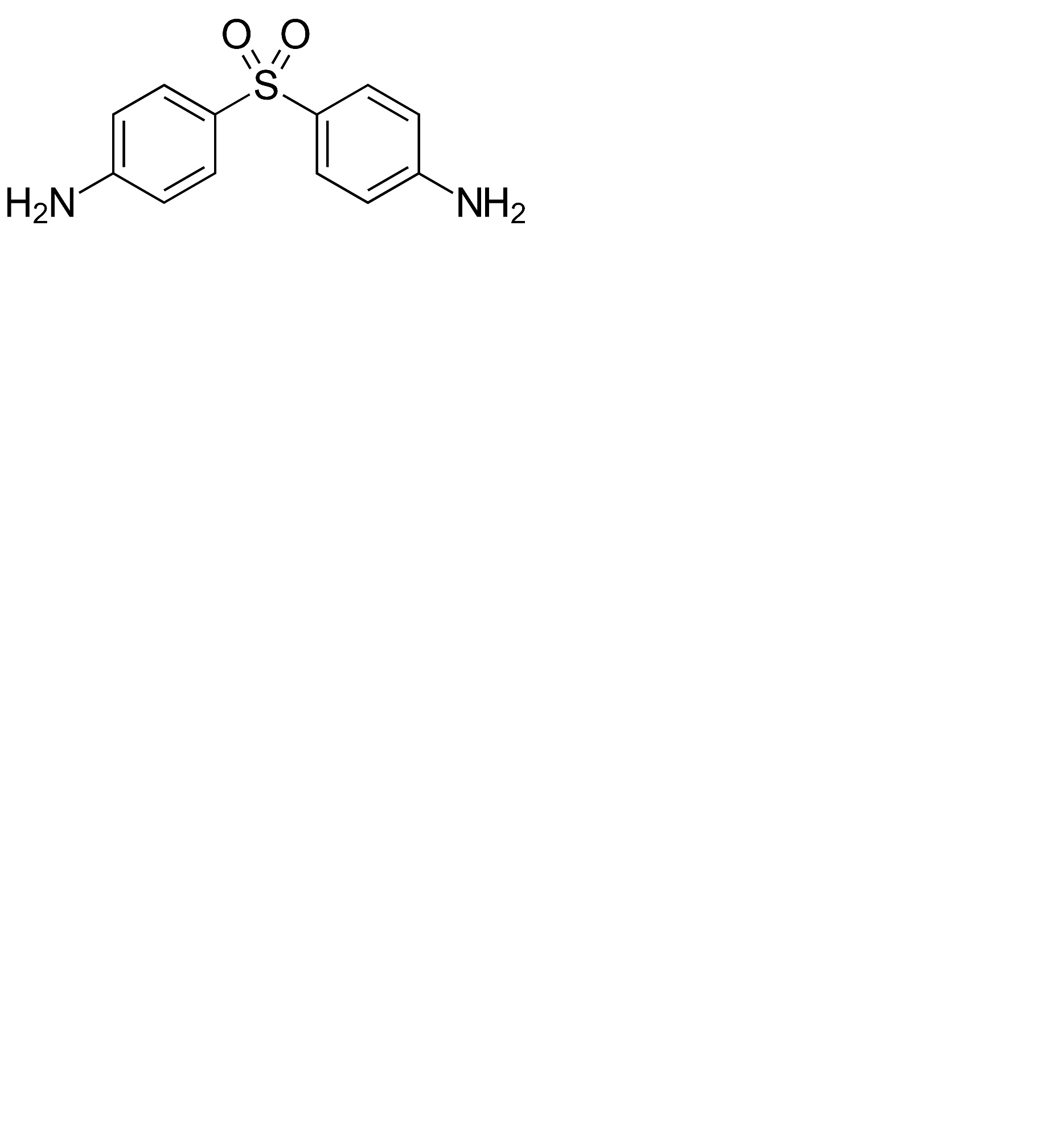
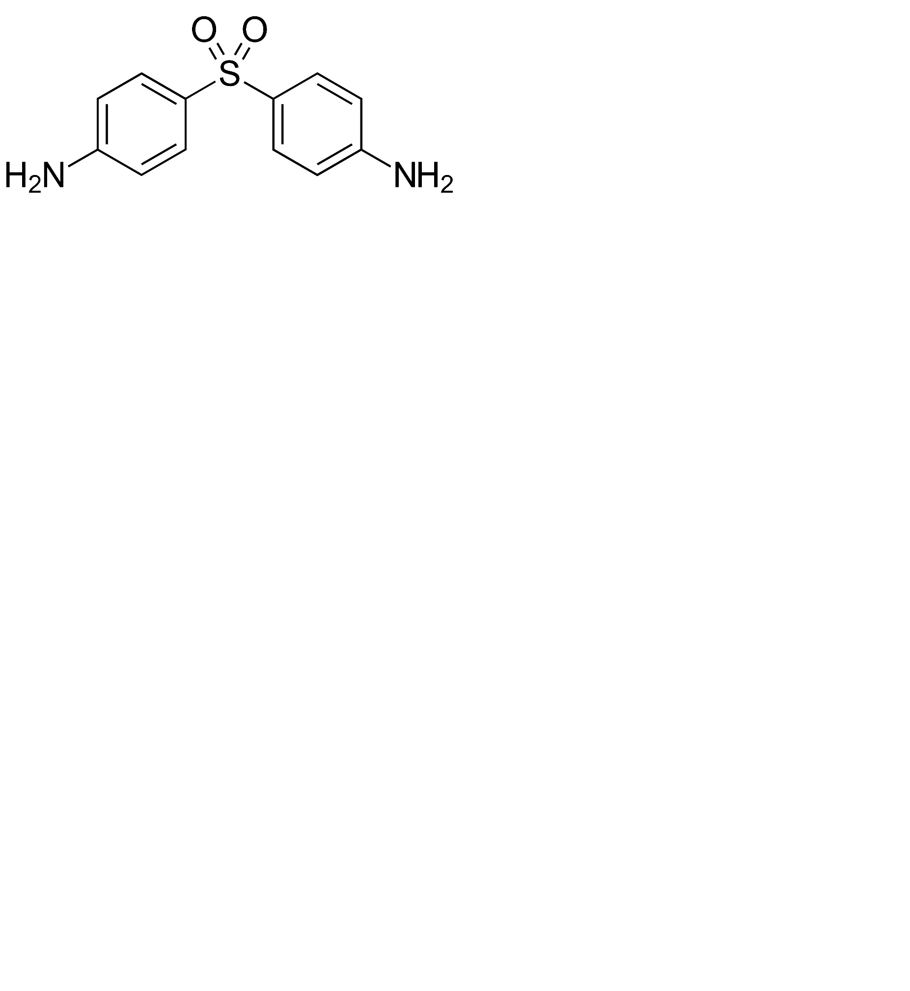
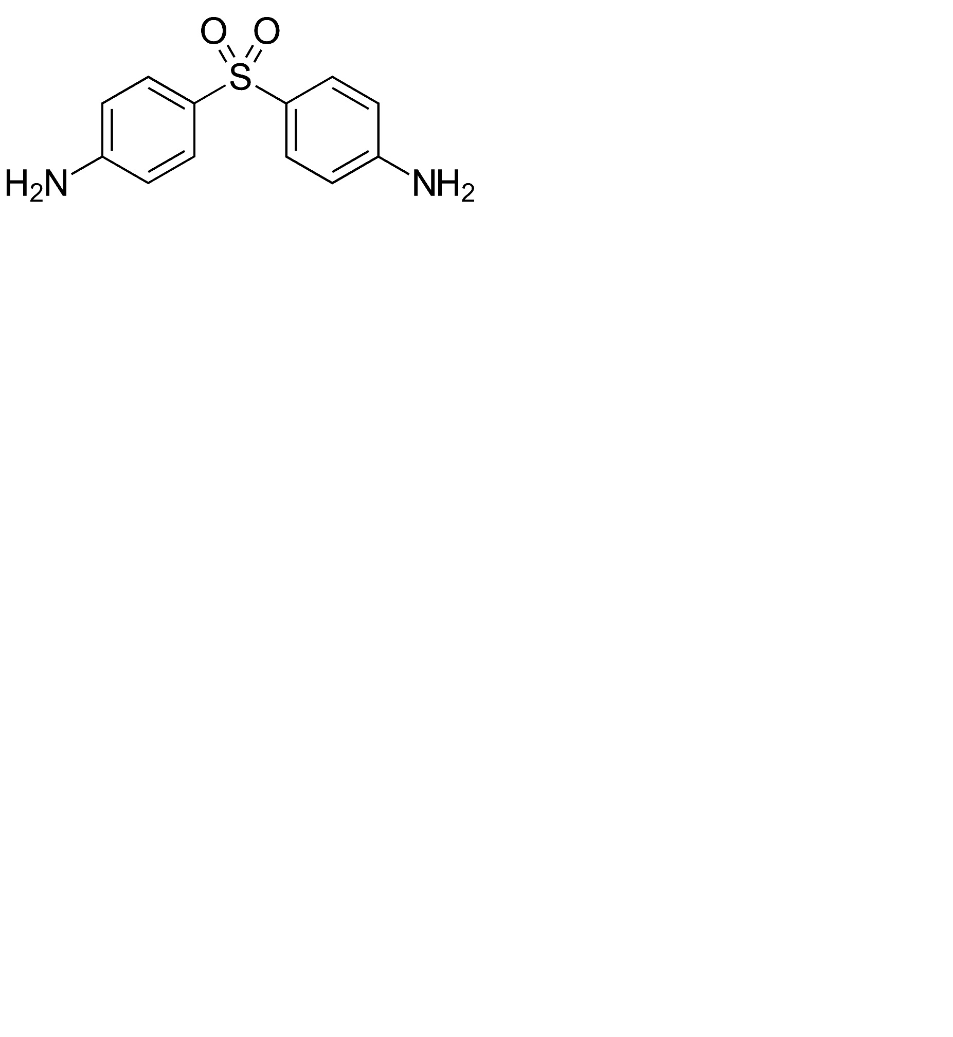
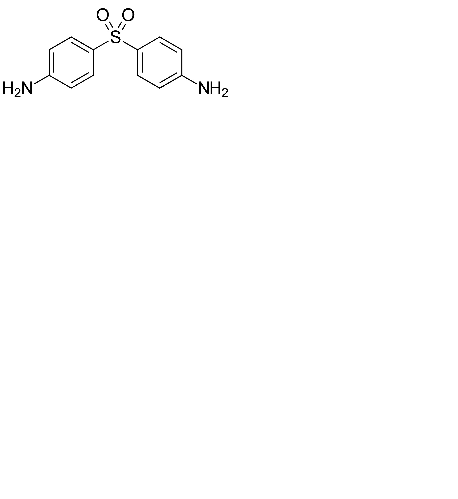
Antibioticum   Dapsone  
zalf
Orale Oplossing
Stabiliteit van farmaceutische preparaten Stabiliteit in mengsels Factoren die de stabiliteit beïnvloeden Verenigbaarheden Literatuur pdf
   Molecuulstructuur  

zalf
Stabiliteit in mengsels   zalf   Stabiliteit in mengsels : Dapsone     
geen gegevens

  Mentions Légales