Seneste opdatering :
27/11/2025
Antibiotisk   Dapsone  
Salver
Oral opløsning
Stabilitet af farmaceutiske tilberedninger Stabilitet i blandinger Faktorer der påvirker stabiliteten Kompatibilitet Bibliografi pdf
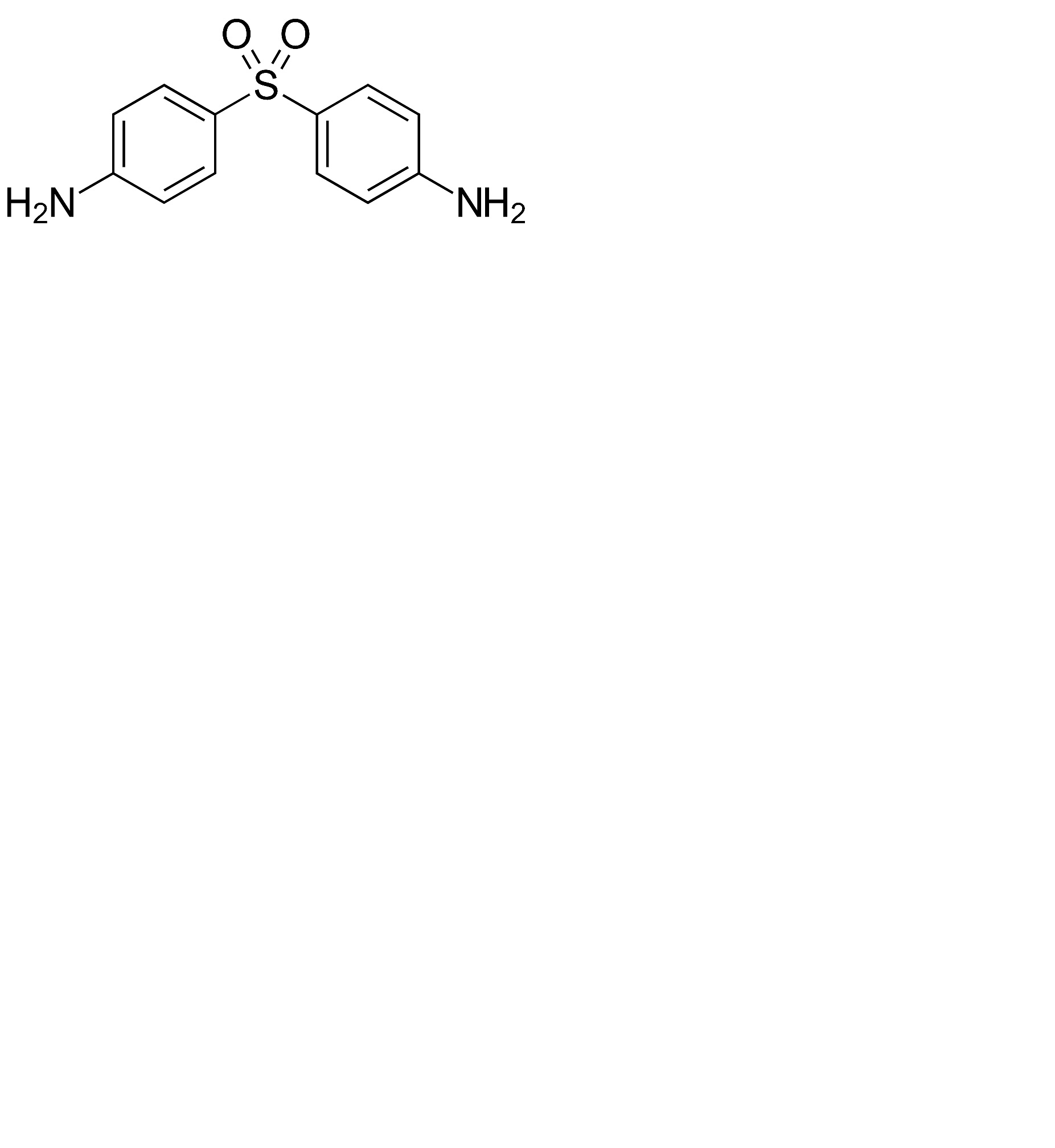
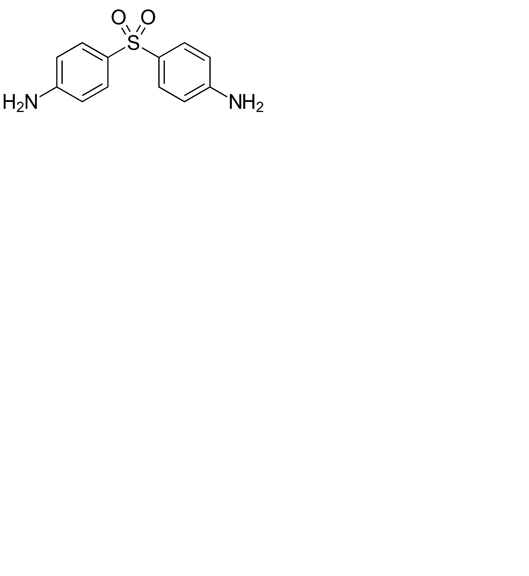
   Kemisk struktur  

Salver
Stabilitet i blandinger   Salver   Stabilitet i blandinger : Dapsone     
Ingen data

  Mentions Légales