Última actualización :
27/11/2025
Hipoglucemiante   Sitagliptine phosphate  
Solución Oral
La estabilidad de las preparaciones farmacéuticas Estabilidad en mezcla Factores que influyen sobre la estabilidad Compatibilidades Bibliografía pdf
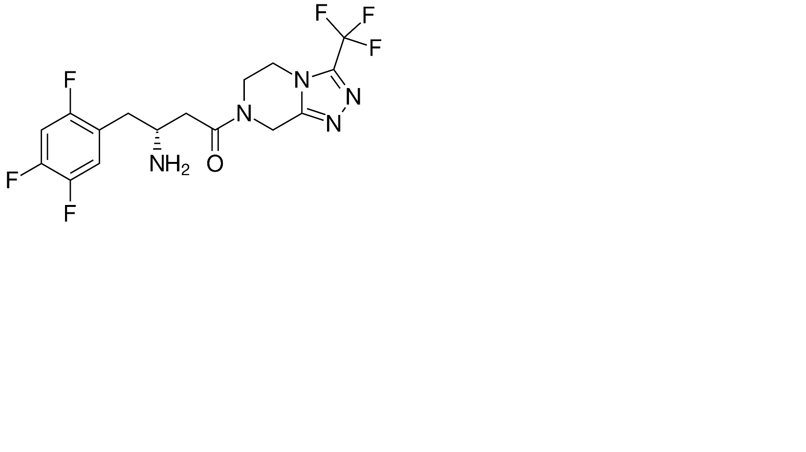
   Estructura química  

Solución Oral
Compatibilidades   Solución Oral   Compatibilidades : Sitagliptine phosphate              
Ausencia de datos

  Mentions Légales