Viimeisin päivitys :
27/11/2025
Glukoosia alentavat lääkkeet   Sitagliptine phosphate  
Oraaliliuos
Vakaus lääkevalmisteen Stabilius seoksissa Tekijät, jotka vaikuttavat stabiliuteen Yhteensopivuus Viitteet pdf
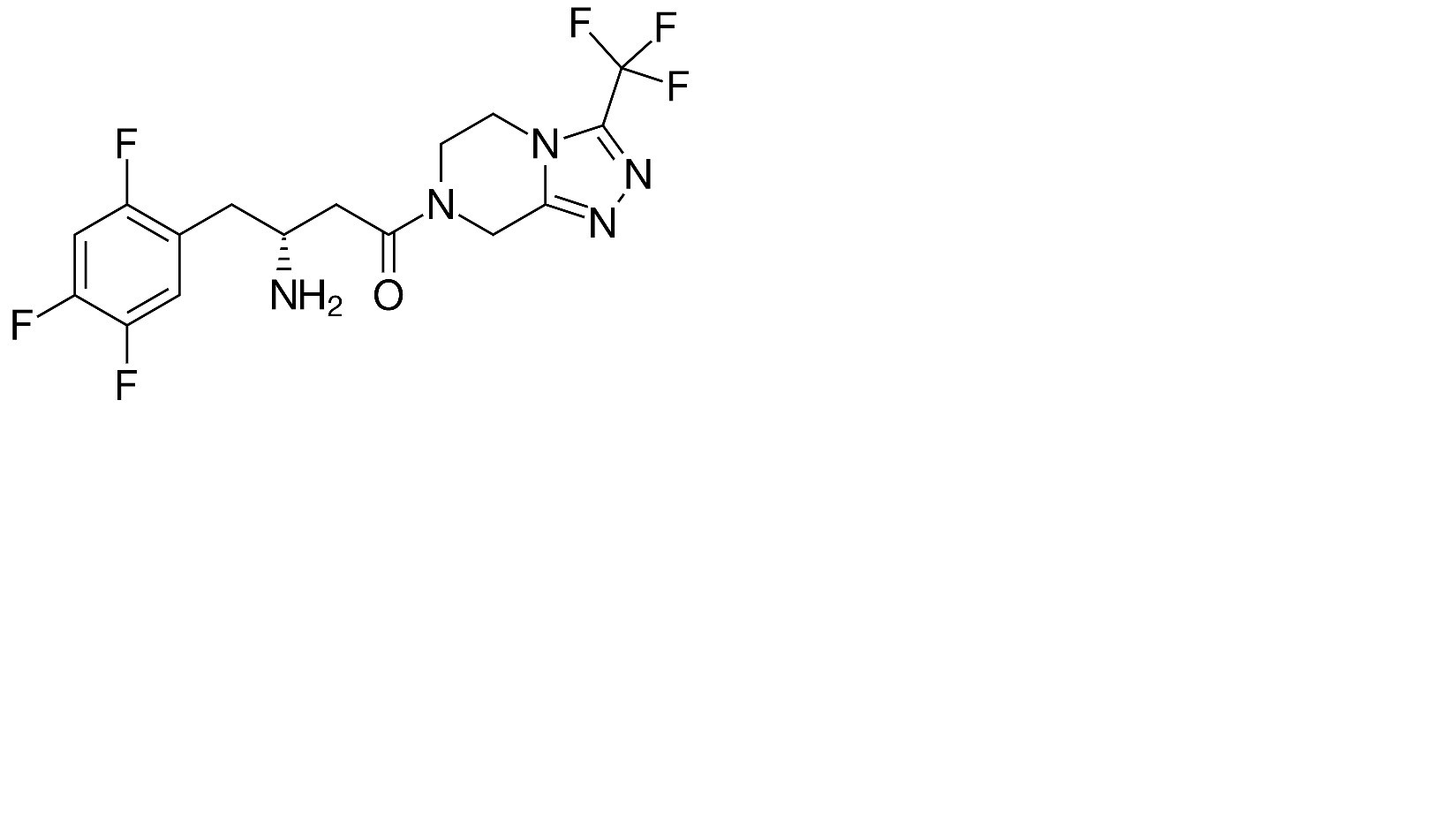
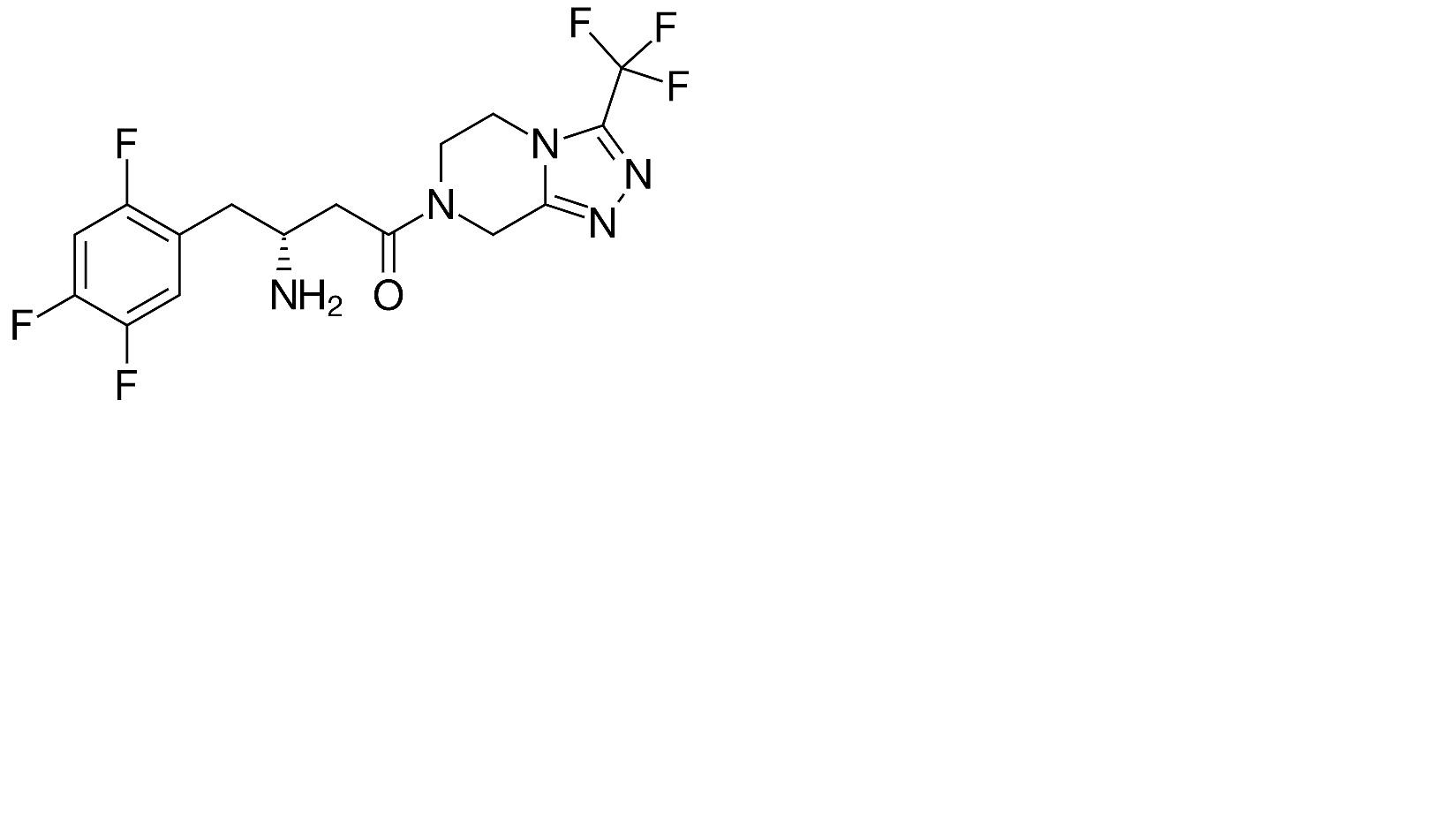
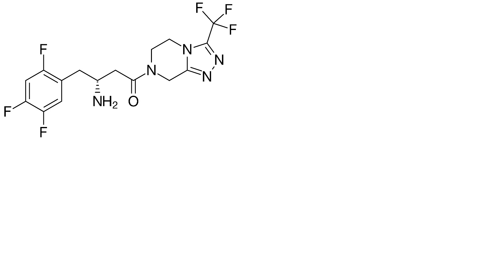
   Kemiallinen rakenne  

Oraaliliuos
Yhteensopivuus   Oraaliliuos   Yhteensopivuus : Sitagliptine phosphate              
ei tietoa

  Mentions Légales