Последнее обновление :
18/03/2026
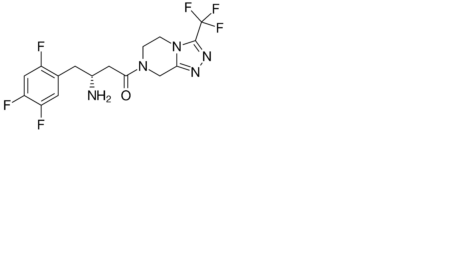
Средство, снижающее количество глюкозы   Sitagliptine phosphate  
Раствор для перорального приёма
Стабильность фармацевтических препаратов Стабильность смесей Факторы, которые влияют на стабильность Совместимость Библиография pdf
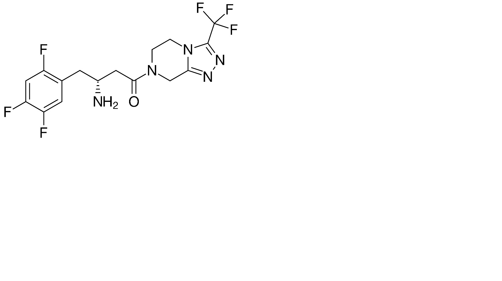
   Химическая структура  

Раствор для перорального приёма
Совместимость   Раствор для перорального приёма   Совместимость : Sitagliptine phosphate              
данных нет

  Mentions Légales