Последно актуализиране :
27/11/2025
Хипогликемичен агент   Sitagliptine phosphate  
Орален разтвор
Стабилност на лекарствени препарати Стабилност на смеси Фактори, повлияващи стабилността Съвместимост Библиография Pdf
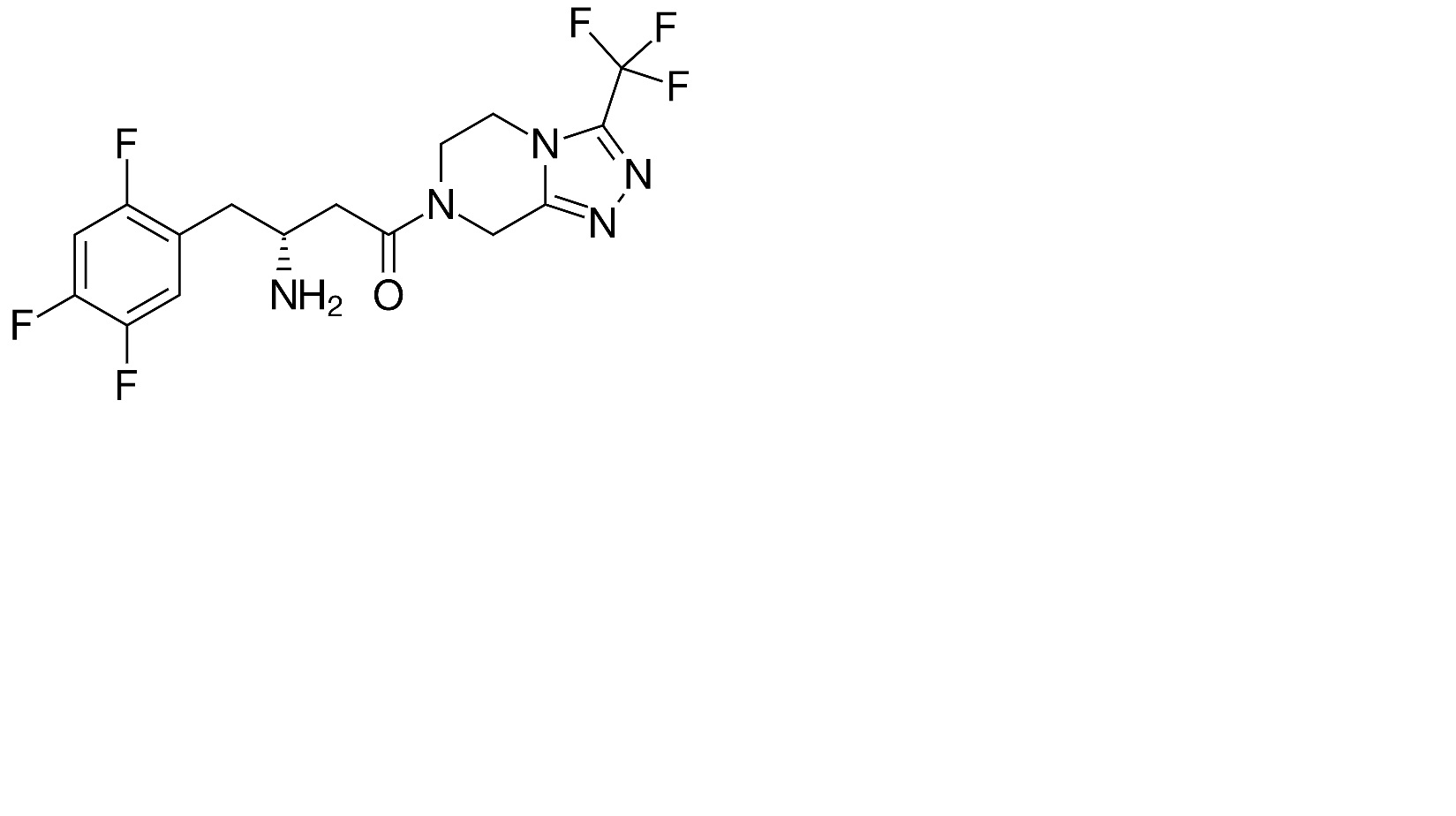
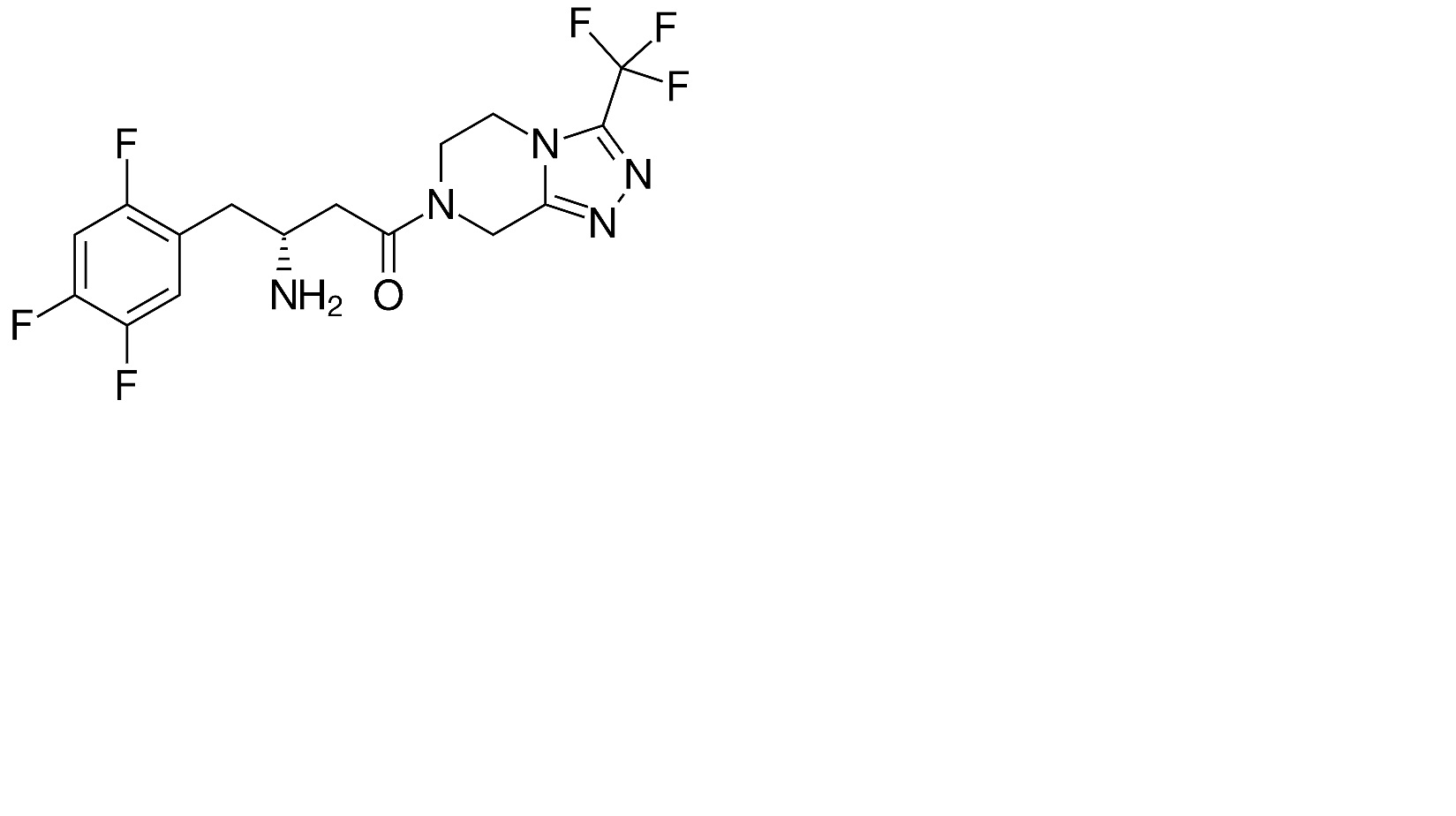
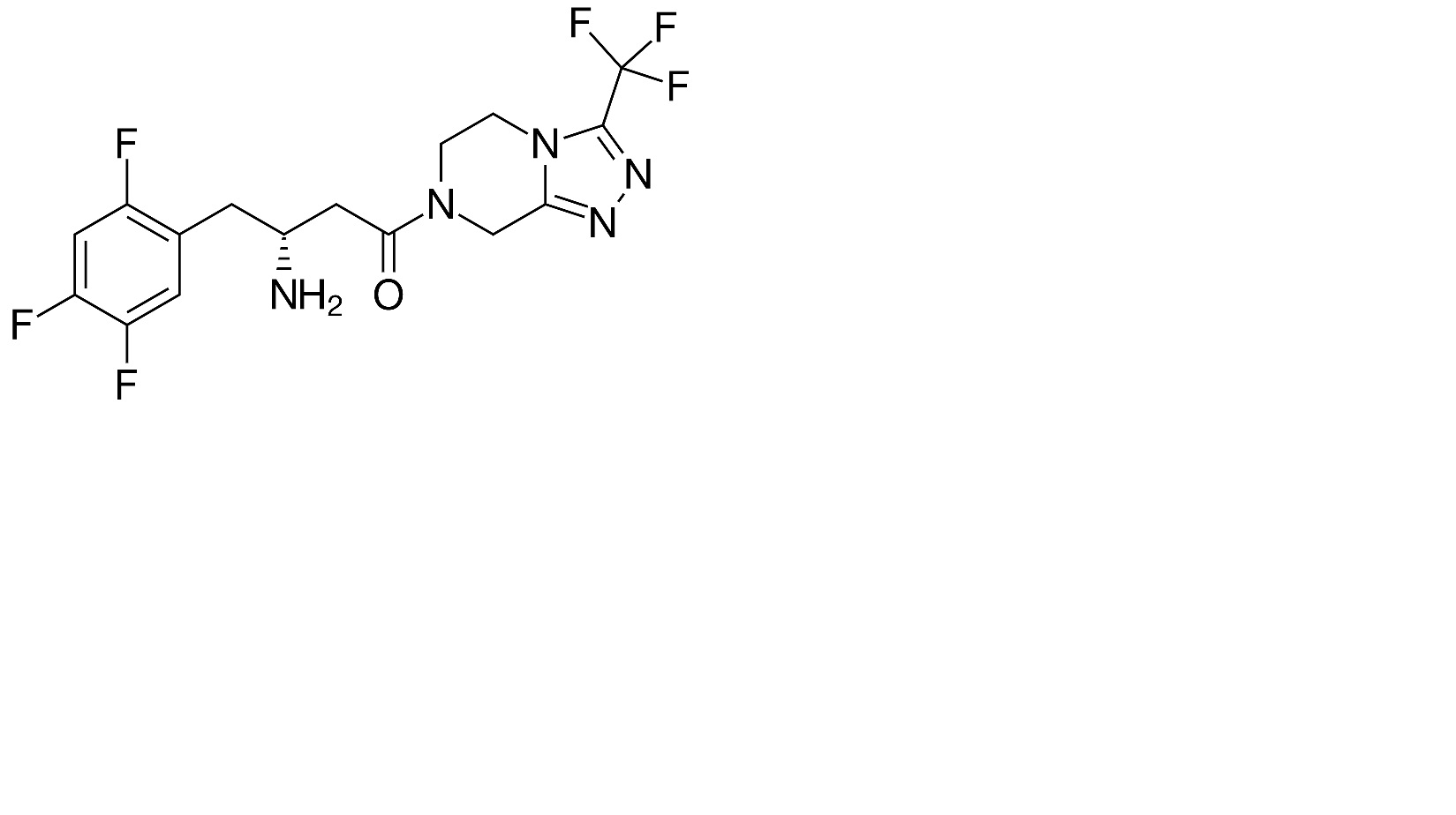
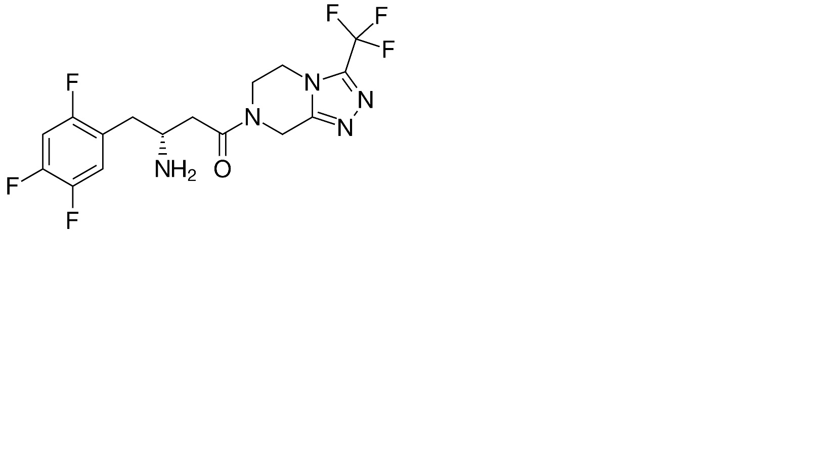
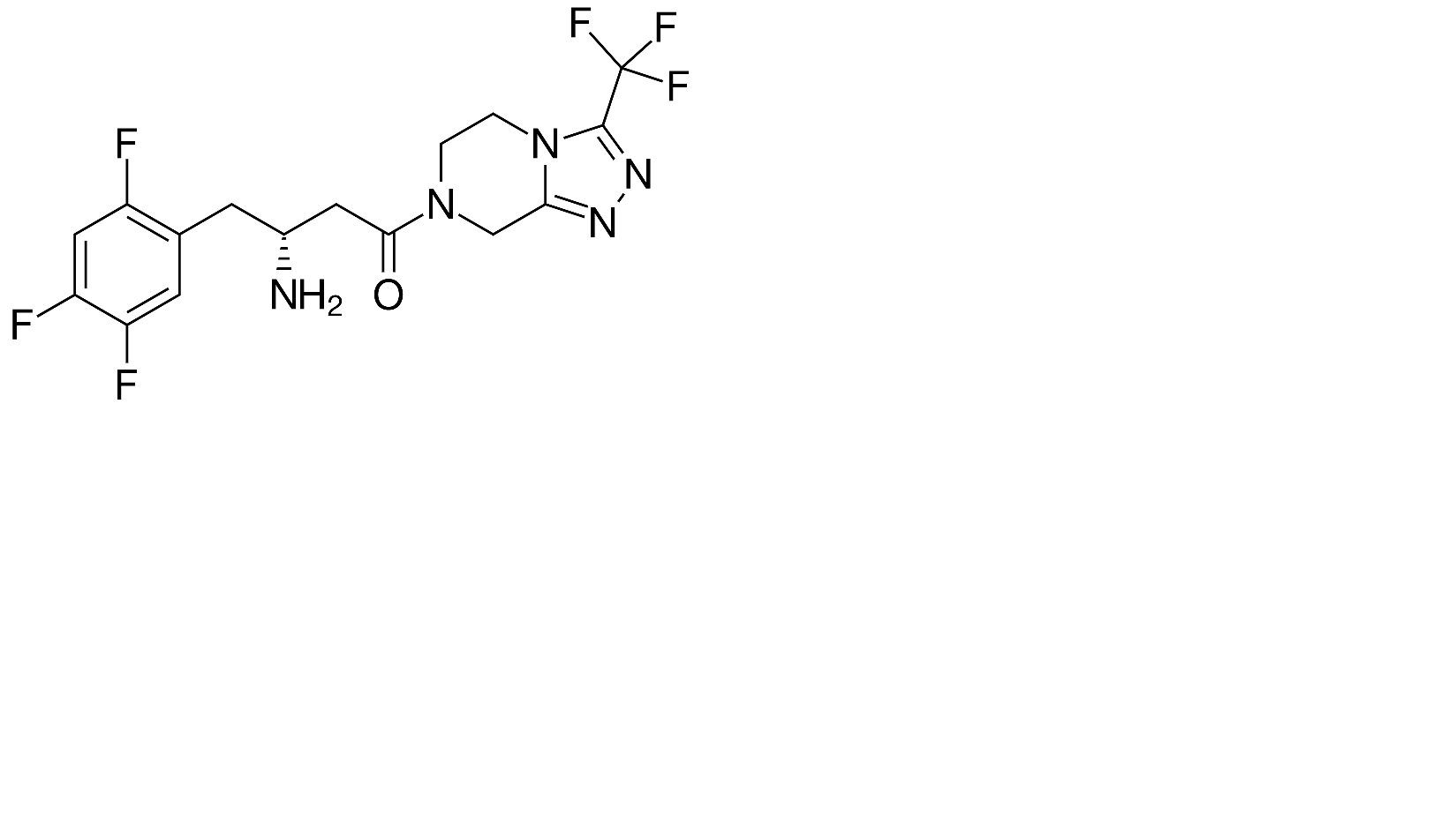
   Химична структура  

Орален разтвор
Съвместимост   Орален разтвор   Съвместимост : Sitagliptine phosphate              
Няма данни

  Mentions Légales