Laatste update :
27/11/2025
Bloedglucoseverlagend middel   Sitagliptine phosphate  
Orale Oplossing
Stabiliteit van farmaceutische preparaten Stabiliteit in mengsels Factoren die de stabiliteit beïnvloeden Verenigbaarheden Literatuur pdf
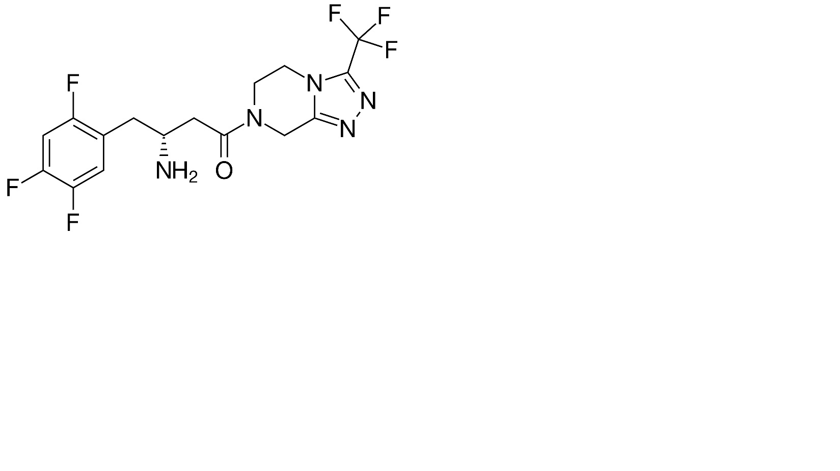
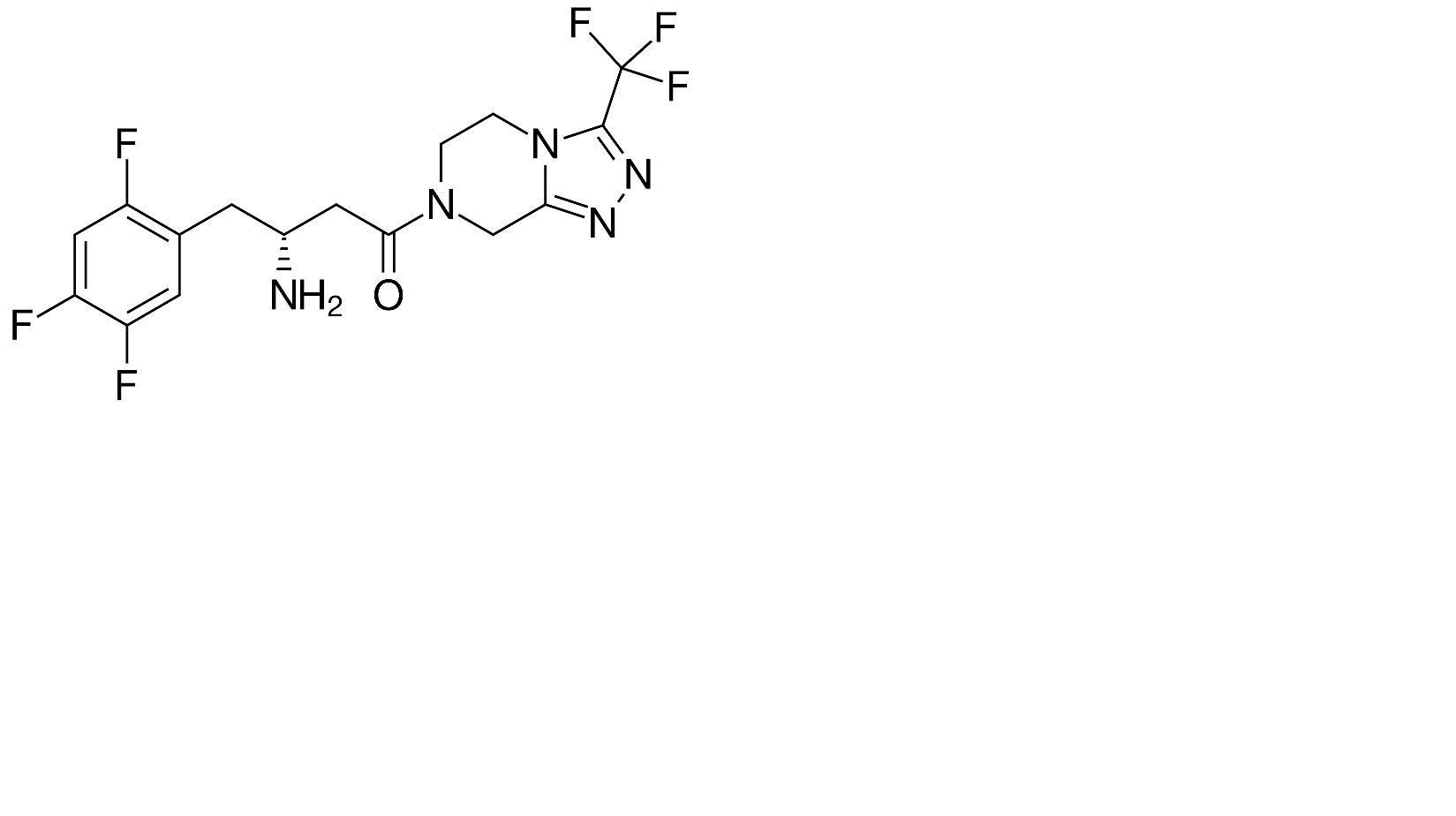
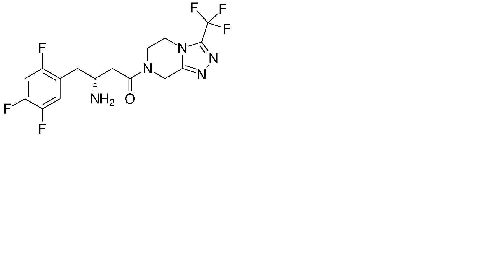
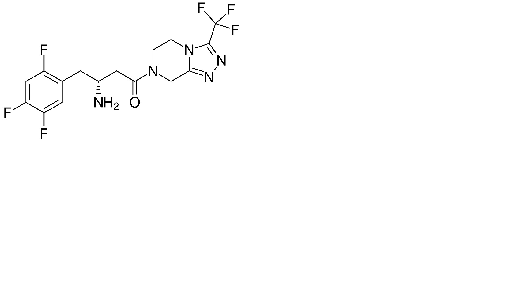
   Molecuulstructuur  

Orale Oplossing
Verenigbaarheden   Orale Oplossing   Verenigbaarheden : Sitagliptine phosphate              
geen gegevens

  Mentions Légales