آخر تحديث :
18/03/2026
خافض الجلوكوز   Sitagliptine phosphate  
عن طريق الفم
استقرار المستحضرات الصيدلانية استقرار مخاليط العوامل التي تؤثر على الاستقرار التوافق مراجع pdf
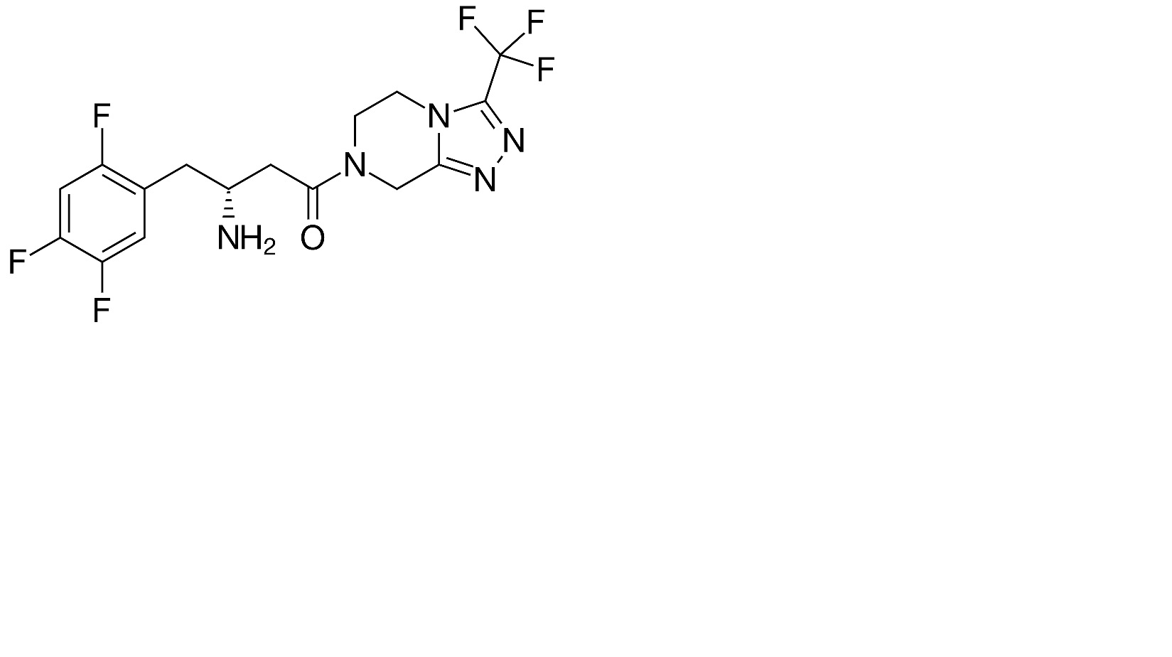
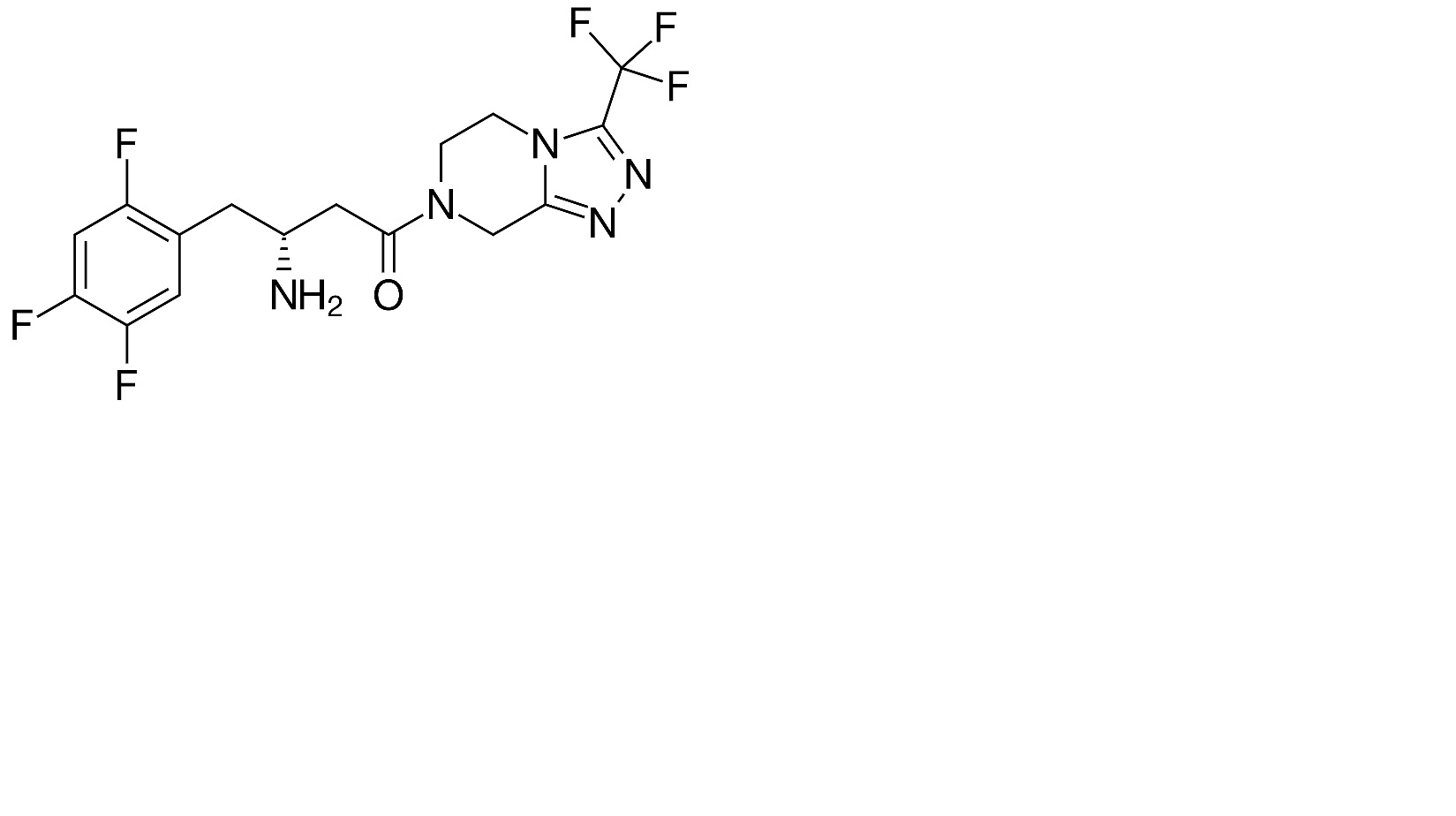
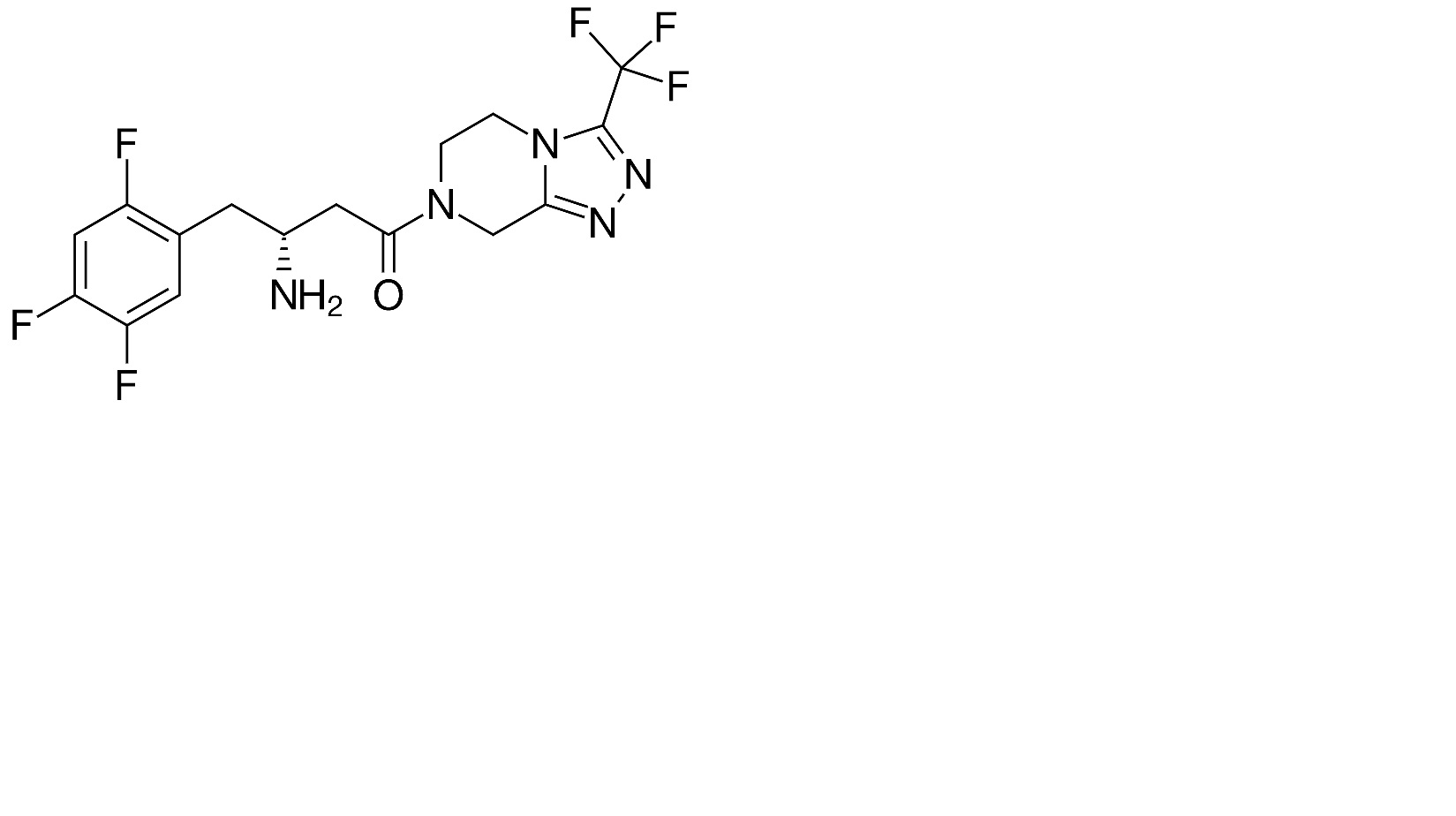
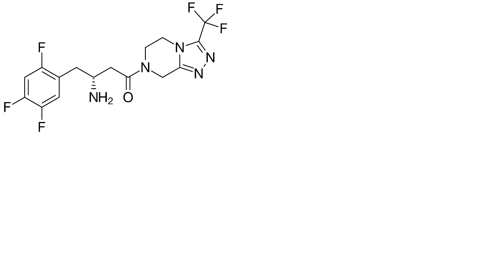
   التركيب الكيميائي  

عن طريق الفم
التوافق   عن طريق الفم     التوافق : Sitagliptine phosphate              
لا توجد بيانات

  Mentions Légales