Ultimele actualizari :
27/11/2025
Hipoglicemiant   Sitagliptine phosphate  
Soluţie orală
Stabilitatea preparatelor farmaceutice Stabilitatea in amestec Factorii care influenteaza stabilitatea Compatibilitate Bibliografie pdf
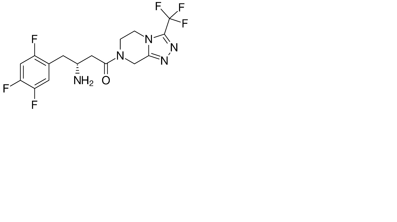
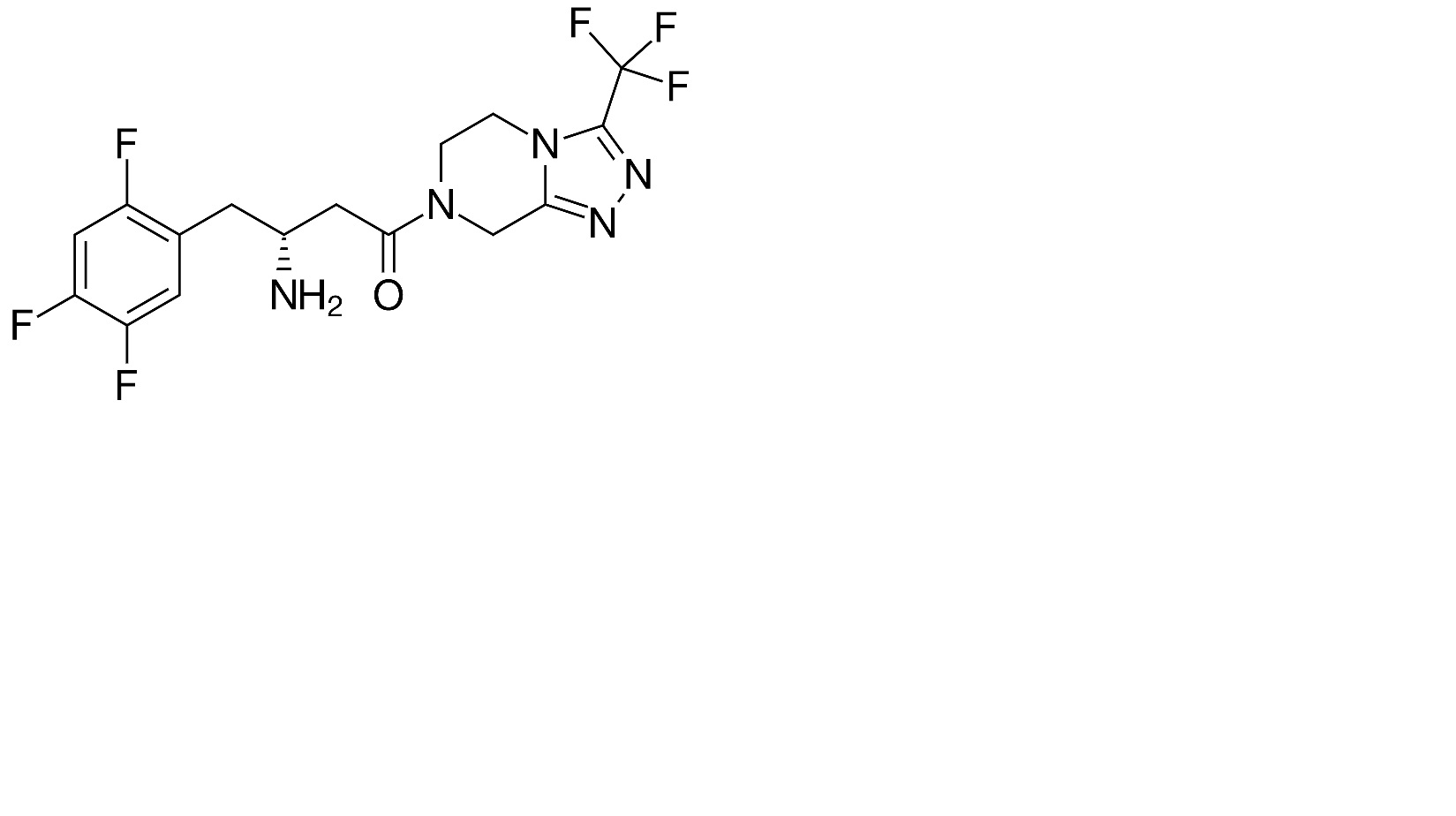
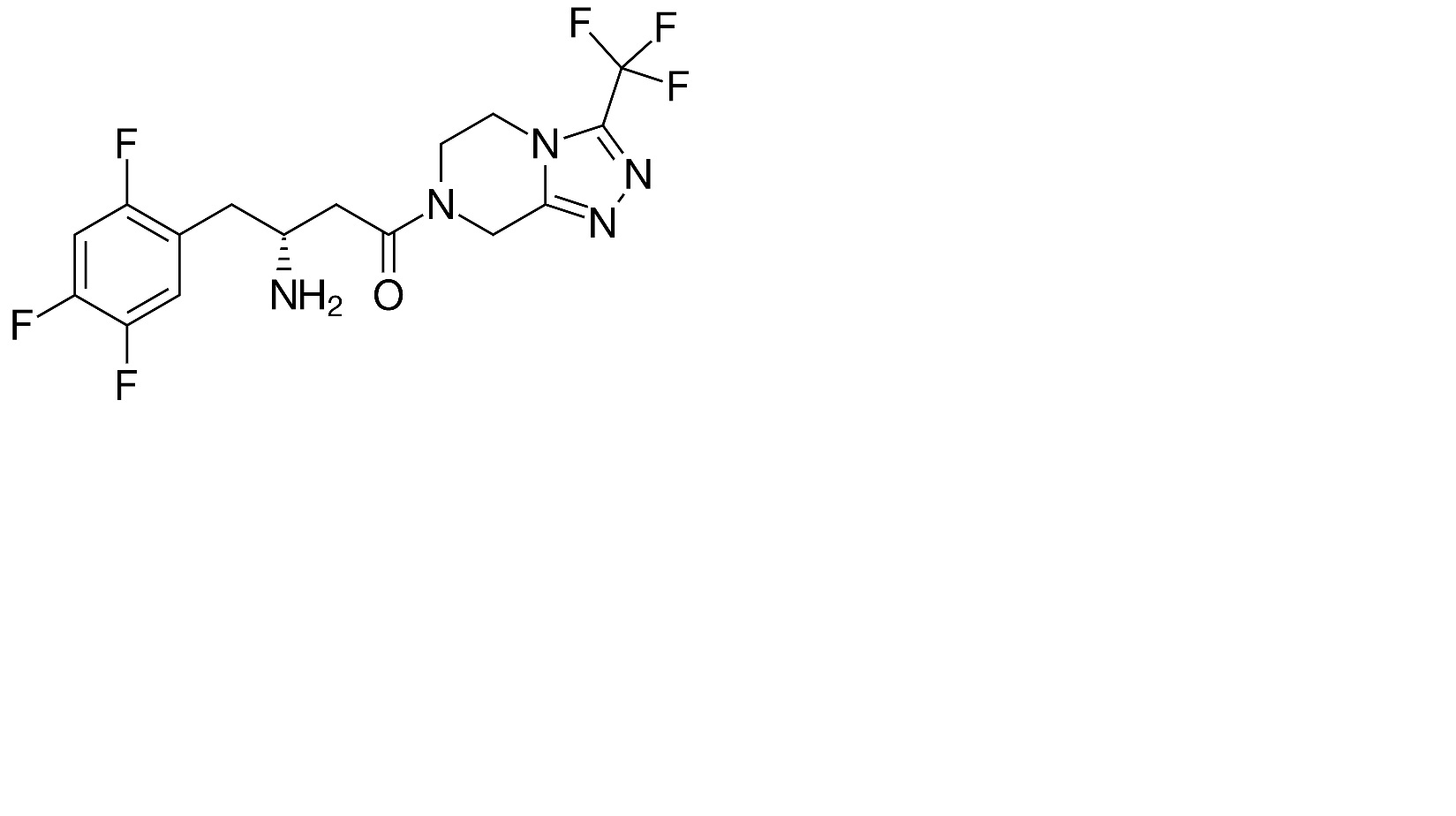
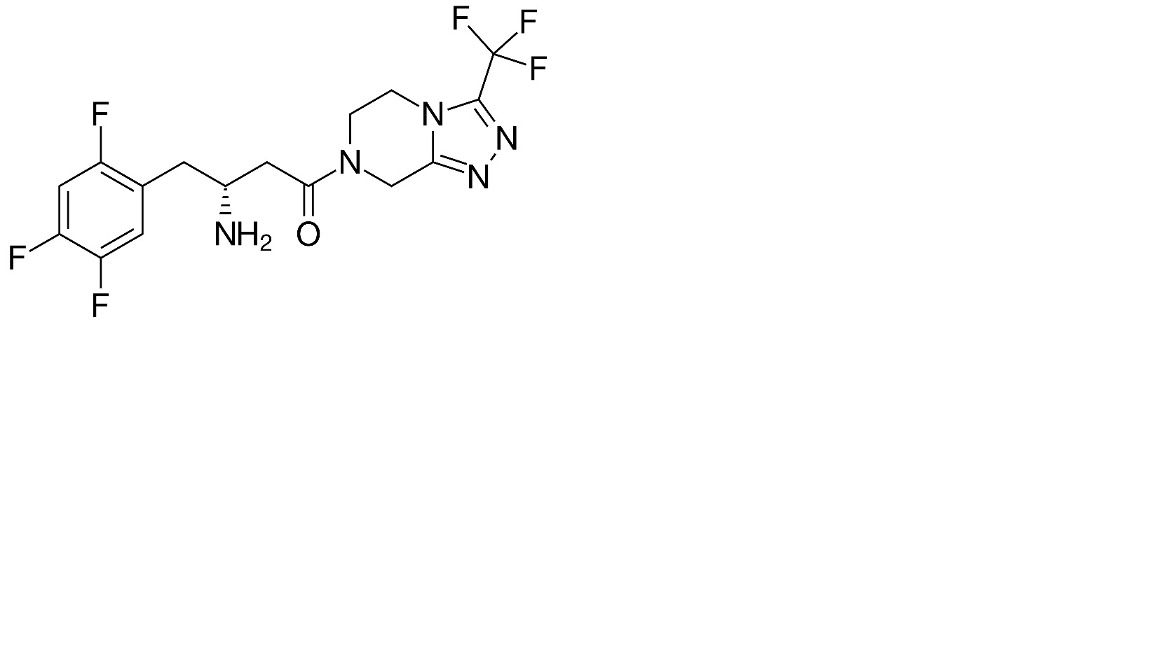
   Formula chimica  

Soluţie orală
Compatibilitate   Soluţie orală   Compatibilitate : Sitagliptine phosphate              
Absenta de date

  Mentions Légales