viimane versioon :
18/03/2026
Hüpoglükeemiline ravim   Sitagliptine phosphate  
suukaudne lahus
Stabiilsust ravimpreparaadid Stabiilsust mõjutavad tegurid stabiilsust mõjutavad faktorid Sobimatus Viited pdf
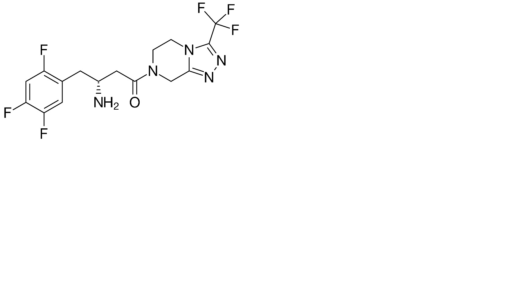
   keemiline struktuur  

suukaudne lahus
Sobimatus   suukaudne lahus   Sobimatus : Sitagliptine phosphate              
andmed puuduvad

  Mentions Légales