Seneste opdatering :
27/11/2025
Glukose-nedsættende   Sitagliptine phosphate  
Oral opløsning
Stabilitet af farmaceutiske tilberedninger Stabilitet i blandinger Faktorer der påvirker stabiliteten Kompatibilitet Bibliografi pdf
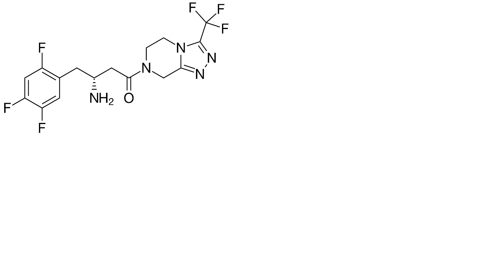
   Kemisk struktur  

Oral opløsning
Kompatibilitet   Oral opløsning   Kompatibilitet : Sitagliptine phosphate              
Ingen data

  Mentions Légales