Ostatnia aktualizacja :
12/12/2025
Antybiotyk   Co-trimoxazole  
Roztwór doustny
Injekcje
Stabilność preparatów farmaceutycznych Trwałość w mieszaninie Czynnik wpływający na trwałość Zgodność Bibliografia pdf
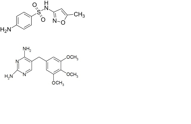
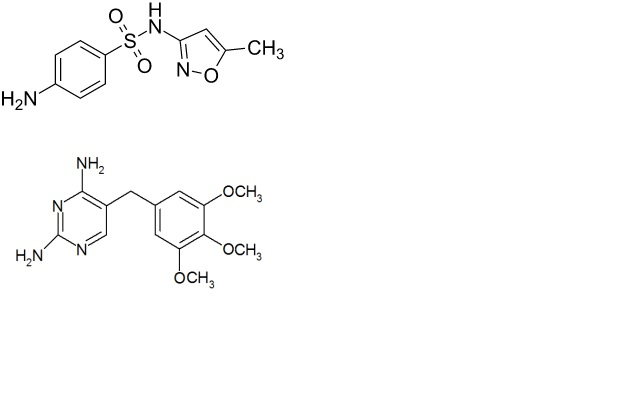
   Struktura chemiczna  

Roztwór doustny
Stabilność preparatów farmaceutycznych   Roztwór doustny   Stabilność preparatów farmaceutycznych : Co-trimoxazole     
Pojemnik Origine Substancja pomocniczna Temperatura Przechowywanie Czas trwania stabilności Bibliografia
Butelka plastikowa Proszek 2000/400 mg
® = ?
Oral Mix® >> 50 mL
25°C Chronić od światła
14 Dzień
4638

Butelka plastikowa Proszek 2000/400 mg
® = ?
Oral Mix SF® >> 50 mL
25°C Chronić od światła
14 Dzień
4638

Butelka plastikowa Proszek 2000/400 mg
® = ?
Oral Mix® >> 50 mL
5°C Chronić od światła
90 Dzień
4638

Butelka plastikowa Proszek 2000/400 mg
® = ?
Oral Mix SF® >> 50 mL
5°C Chronić od światła
14 Dzień
4638

Strzykawka Proszek 100/20 mg
® = ?
Oral Mix® >> 2,5 mL
25°C Chronić od światła
14 Dzień
4638

Strzykawka Proszek 100/20 mg
® = ?
Oral Mix SF® >> 2,5 mL
25°C Chronić od światła
7 Dzień
4638

Strzykawka Proszek 100/20 mg
® = ?
Oral Mix® >> 2,5 mL
5°C Chronić od światła
90 Dzień
4638

Strzykawka Proszek 100/20 mg
® = ?
Oral Mix SF® >> 2,5 mL
5°C Chronić od światła
90 Dzień
4638


  Mentions Légales