Seneste opdatering :
18/03/2026
Antibiotisk   Co-trimoxazole  
Oral opløsning
Injektion
Stabilitet af farmaceutiske tilberedninger Stabilitet i blandinger Faktorer der påvirker stabiliteten Kompatibilitet Bibliografi pdf
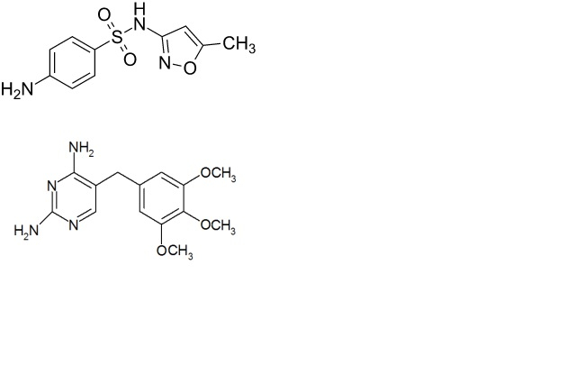
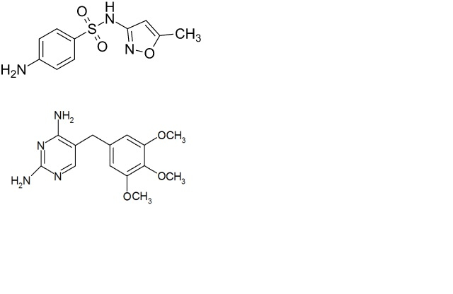
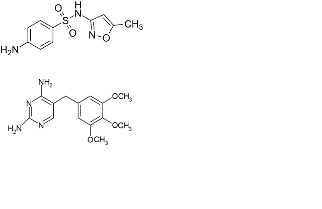
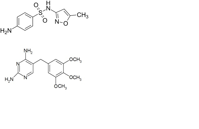
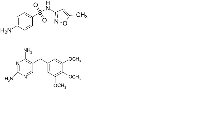
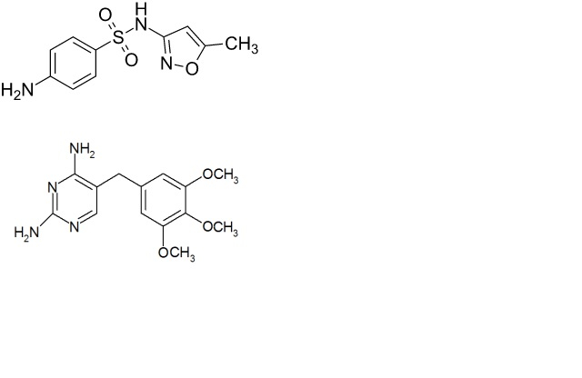
   Kemisk struktur  

Oral opløsning
Stabilitet af farmaceutiske tilberedninger   Oral opløsning   Stabilitet af farmaceutiske tilberedninger : Co-trimoxazole     
Beholder Origine Hjælpestof Temperatur Konservering Varighed af stabilitet Bibliografi
Plastflaske Pulver 2000/400 mg
® = ?
Oral Mix® >> 50 mL
25°C Beskyt mod lys
14 Dag
4638

Plastflaske Pulver 2000/400 mg
® = ?
Oral Mix SF® >> 50 mL
25°C Beskyt mod lys
14 Dag
4638

Plastflaske Pulver 2000/400 mg
® = ?
Oral Mix® >> 50 mL
5°C Beskyt mod lys
90 Dag
4638

Plastflaske Pulver 2000/400 mg
® = ?
Oral Mix SF® >> 50 mL
5°C Beskyt mod lys
14 Dag
4638

Sprøjte Pulver 100/20 mg
® = ?
Oral Mix® >> 2,5 mL
25°C Beskyt mod lys
14 Dag
4638

Sprøjte Pulver 100/20 mg
® = ?
Oral Mix SF® >> 2,5 mL
25°C Beskyt mod lys
7 Dag
4638

Sprøjte Pulver 100/20 mg
® = ?
Oral Mix® >> 2,5 mL
5°C Beskyt mod lys
90 Dag
4638

Sprøjte Pulver 100/20 mg
® = ?
Oral Mix SF® >> 2,5 mL
5°C Beskyt mod lys
90 Dag
4638


  Mentions Légales