Dernière mise à jour :
17/12/2025
Antibiotique   Co-trimoxazole  
Solution buvable
injectable
Stabilité des préparations Stabilité en mélange Facteur influençant la stabilité Compatibilités Bibliographie pdf
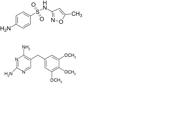
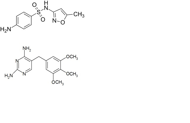
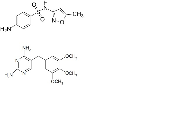
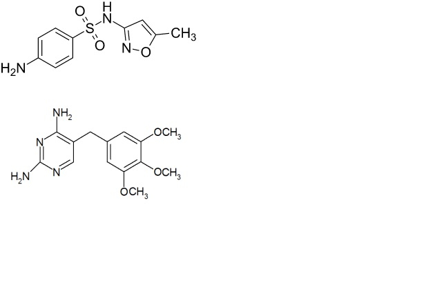
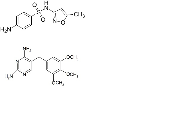
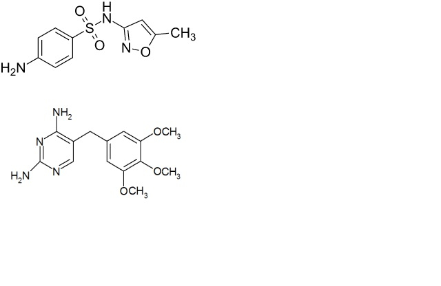
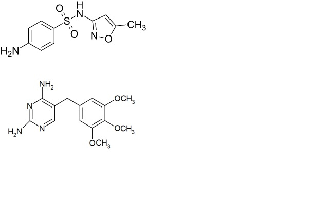
   Structure chimique  

Solution buvable
Stabilité en mélange   Solution buvable   Stabilité en mélange : Co-trimoxazole     
Aucune donnée

  Mentions Légales