Cập nhật lần cuối :
18/03/2026
Kháng sinh   Co-trimoxazole  
Dung dịch uống
Dạng tiêm
Tính ổn định của các chế phẩm Độ ổn định khi trộn lẫn Những yếu tố ảnh hưởng đến độ ổn định Khả năng tương thích Tài liệu tham khảo Pdf
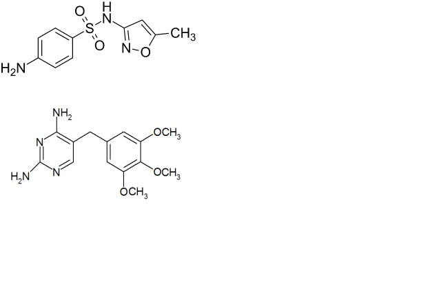
   Cấu trúc hóa học  

Dung dịch uống
Tính ổn định của các chế phẩm   Dung dịch uống   Tính ổn định của các chế phẩm : Co-trimoxazole     
Bao bì Nguyên bản Tá dược Nhiệt độ Bảo quản Thời gian ổn định Mục lục
Lọ nhựa Bột 2000/400 mg
® = ?
Oral Mix® >> 50 mL
25°C Tránh ánh sáng
14 Ngày
4638

Lọ nhựa Bột 2000/400 mg
® = ?
Oral Mix SF® >> 50 mL
25°C Tránh ánh sáng
14 Ngày
4638

Lọ nhựa Bột 2000/400 mg
® = ?
Oral Mix® >> 50 mL
5°C Tránh ánh sáng
90 Ngày
4638

Lọ nhựa Bột 2000/400 mg
® = ?
Oral Mix SF® >> 50 mL
5°C Tránh ánh sáng
14 Ngày
4638

Ống tiêm bằng nhựa polypropylen đường uống Bột 100/20 mg
® = ?
Oral Mix® >> 2,5 mL
25°C Tránh ánh sáng
14 Ngày
4638

Ống tiêm bằng nhựa polypropylen đường uống Bột 100/20 mg
® = ?
Oral Mix SF® >> 2,5 mL
25°C Tránh ánh sáng
7 Ngày
4638

Ống tiêm bằng nhựa polypropylen đường uống Bột 100/20 mg
® = ?
Oral Mix® >> 2,5 mL
5°C Tránh ánh sáng
90 Ngày
4638

Ống tiêm bằng nhựa polypropylen đường uống Bột 100/20 mg
® = ?
Oral Mix SF® >> 2,5 mL
5°C Tránh ánh sáng
90 Ngày
4638


  Mentions Légales