Utolsó frissítés :
12/12/2025
Antibiotikum   Co-trimoxazole  
belsőleges oldat
Injekció
Stabilitása gyógyszerészeti készítmények A keverékek stabilitása Stabilitást befolyásoló tényezők Kompatibilitás Irodalom pdf
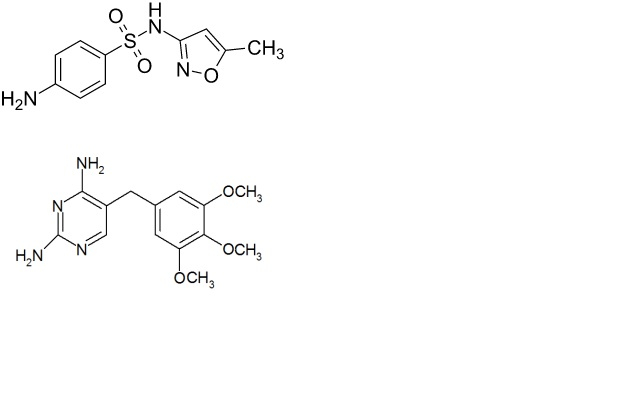
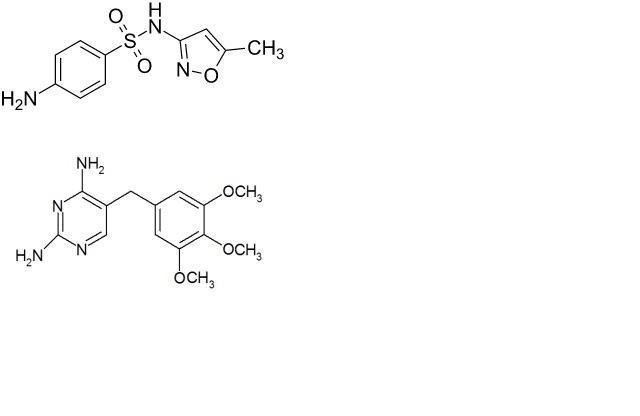
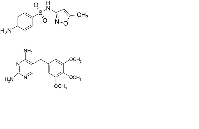
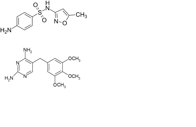
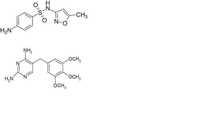
   Kémiai szerkezet   

belsőleges oldat
Stabilitása gyógyszerészeti készítmények   belsőleges oldat   Stabilitása gyógyszerészeti készítmények : Co-trimoxazole     
Csomagolás Origine segédanyag Hőmérséklet Tárolás A stabilitás időtartama Irodalom
műanyag flakon por 2000/400 mg
® = ?
Oral Mix® >> 50 mL
25°C Fénytől védve tartandó
14 Nap
4638

műanyag flakon por 2000/400 mg
® = ?
Oral Mix SF® >> 50 mL
25°C Fénytől védve tartandó
14 Nap
4638

műanyag flakon por 2000/400 mg
® = ?
Oral Mix® >> 50 mL
5°C Fénytől védve tartandó
90 Nap
4638

műanyag flakon por 2000/400 mg
® = ?
Oral Mix SF® >> 50 mL
5°C Fénytől védve tartandó
14 Nap
4638

fecskendő por 100/20 mg
® = ?
Oral Mix® >> 2,5 mL
25°C Fénytől védve tartandó
14 Nap
4638

fecskendő por 100/20 mg
® = ?
Oral Mix SF® >> 2,5 mL
25°C Fénytől védve tartandó
7 Nap
4638

fecskendő por 100/20 mg
® = ?
Oral Mix® >> 2,5 mL
5°C Fénytől védve tartandó
90 Nap
4638

fecskendő por 100/20 mg
® = ?
Oral Mix SF® >> 2,5 mL
5°C Fénytől védve tartandó
90 Nap
4638


  Mentions Légales