Dernière mise à jour :
17/12/2025
Antibiotique   Co-trimoxazole  
Solution buvable
injectable
Stabilité des préparations Stabilité en mélange Facteur influençant la stabilité Compatibilités Bibliographie pdf
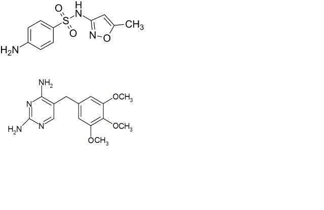
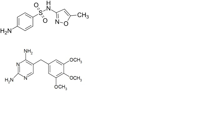
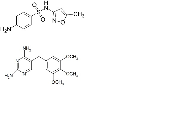
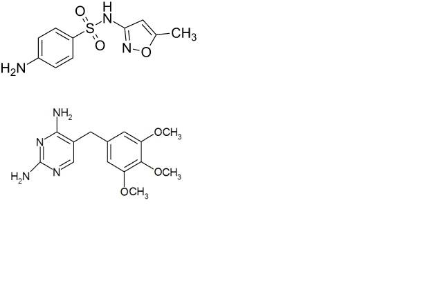
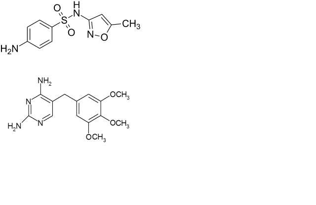
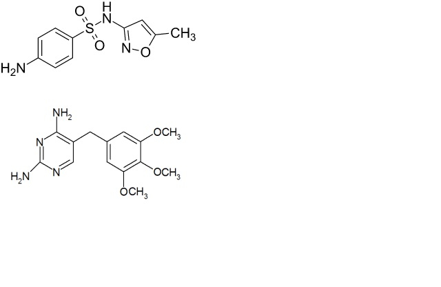
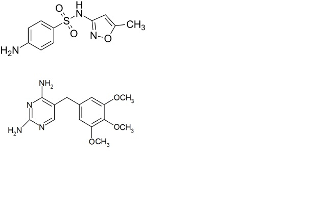
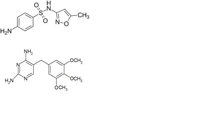
   Structure chimique  

Solution buvable
Stabilité des préparations   Solution buvable   Stabilité des préparations : Co-trimoxazole     
Contenant Origine Excipient Température Conservation Durée de stabilité Bibliographie
Flacon plastique Poudre 2000/400 mg
® = ?
Oral Mix® >> 50 mL
25°C A l’abri de la lumière
14 Jour
4638

Flacon plastique Poudre 2000/400 mg
® = ?
Oral Mix SF® >> 50 mL
25°C A l’abri de la lumière
14 Jour
4638

Flacon plastique Poudre 2000/400 mg
® = ?
Oral Mix® >> 50 mL
5°C A l’abri de la lumière
90 Jour
4638

Flacon plastique Poudre 2000/400 mg
® = ?
Oral Mix SF® >> 50 mL
5°C A l’abri de la lumière
14 Jour
4638

Seringue PP orale Poudre 100/20 mg
® = ?
Oral Mix® >> 2,5 mL
25°C A l’abri de la lumière
14 Jour
4638

Seringue PP orale Poudre 100/20 mg
® = ?
Oral Mix SF® >> 2,5 mL
25°C A l’abri de la lumière
7 Jour
4638

Seringue PP orale Poudre 100/20 mg
® = ?
Oral Mix® >> 2,5 mL
5°C A l’abri de la lumière
90 Jour
4638

Seringue PP orale Poudre 100/20 mg
® = ?
Oral Mix SF® >> 2,5 mL
5°C A l’abri de la lumière
90 Jour
4638


  Mentions Légales