آخر تحديث :
07/01/2026
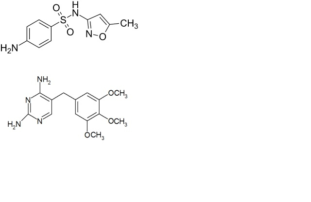
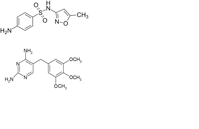
مضاد حيوي   Co-trimoxazole  
عن طريق الفم
حقن
استقرار المستحضرات الصيدلانية استقرار مخاليط العوامل التي تؤثر على الاستقرار التوافق مراجع pdf
   التركيب الكيميائي  

عن طريق الفم
استقرار المستحضرات الصيدلانية   عن طريق الفم     استقرار المستحضرات الصيدلانية : Co-trimoxazole     
حاوية Origine الاضافات درجة الحرارة تخزين مدة الاستقرار مراجع
زجاجة من البلاستيك مسحوق 2000/400 mg
® = ?
Oral Mix® >> 50 mL
25°C بعيدا عن الضوء
14 يوم
4638

زجاجة من البلاستيك مسحوق 2000/400 mg
® = ?
Oral Mix SF® >> 50 mL
25°C بعيدا عن الضوء
14 يوم
4638

زجاجة من البلاستيك مسحوق 2000/400 mg
® = ?
Oral Mix® >> 50 mL
5°C بعيدا عن الضوء
90 يوم
4638

زجاجة من البلاستيك مسحوق 2000/400 mg
® = ?
Oral Mix SF® >> 50 mL
5°C بعيدا عن الضوء
14 يوم
4638

حقنة مسحوق 100/20 mg
® = ?
Oral Mix® >> 2,5 mL
25°C بعيدا عن الضوء
14 يوم
4638

حقنة مسحوق 100/20 mg
® = ?
Oral Mix SF® >> 2,5 mL
25°C بعيدا عن الضوء
7 يوم
4638

حقنة مسحوق 100/20 mg
® = ?
Oral Mix® >> 2,5 mL
5°C بعيدا عن الضوء
90 يوم
4638

حقنة مسحوق 100/20 mg
® = ?
Oral Mix SF® >> 2,5 mL
5°C بعيدا عن الضوء
90 يوم
4638


  Mentions Légales