Letztes “update” :
12/12/2025
Antibiotikum   Co-trimoxazole  
Lösung zum Einnehmen
Injektion
Stabilität von pharmazeutischen Präparaten Gemengestabilität Stabilitätbeeinflussende Faktoren Kompatibilitäten Literaturverzeichnis pdf
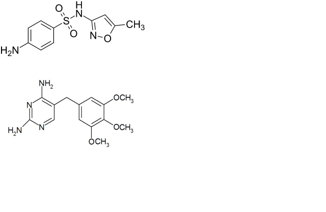
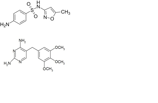
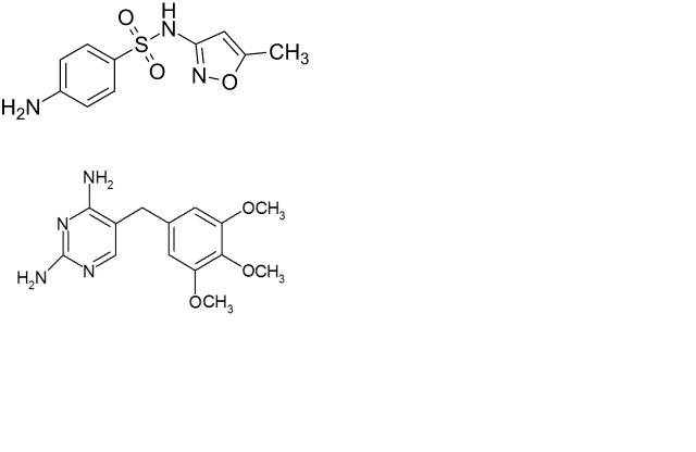
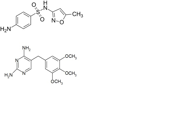
   Chemische Struktur  

Lösung zum Einnehmen
Stabilität von pharmazeutischen Präparaten   Lösung zum Einnehmen   Stabilität von pharmazeutischen Präparaten : Co-trimoxazole     
Behälter Origine Hilfsstoff Temperatur Konservierung Dauer der Stabilität Literaturverzeichnis
Plastikflasche Pulver 2000/400 mg
® = ?
Oral Mix® >> 50 mL
25°C Ohne Licht
14 Tag
4638

Plastikflasche Pulver 2000/400 mg
® = ?
Oral Mix SF® >> 50 mL
25°C Ohne Licht
14 Tag
4638

Plastikflasche Pulver 2000/400 mg
® = ?
Oral Mix® >> 50 mL
5°C Ohne Licht
90 Tag
4638

Plastikflasche Pulver 2000/400 mg
® = ?
Oral Mix SF® >> 50 mL
5°C Ohne Licht
14 Tag
4638

Spritze Pulver 100/20 mg
® = ?
Oral Mix® >> 2,5 mL
25°C Ohne Licht
14 Tag
4638

Spritze Pulver 100/20 mg
® = ?
Oral Mix SF® >> 2,5 mL
25°C Ohne Licht
7 Tag
4638

Spritze Pulver 100/20 mg
® = ?
Oral Mix® >> 2,5 mL
5°C Ohne Licht
90 Tag
4638

Spritze Pulver 100/20 mg
® = ?
Oral Mix SF® >> 2,5 mL
5°C Ohne Licht
90 Tag
4638


  Mentions Légales