Τελευταία ενημέρωση :
18/03/2026
Αντιβιοτικό   Co-trimoxazole  
Πόσιμο διάλυμα
Ενέσιμο
Σταθερότητα και συμβατότητα των φαρμάκων Σταθερότητα σε μίγματα Παράγοντας που επηρεάζει τη σταθερότητα Συμβατότητες Βιβλιογραφία pdf
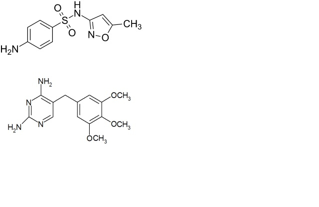
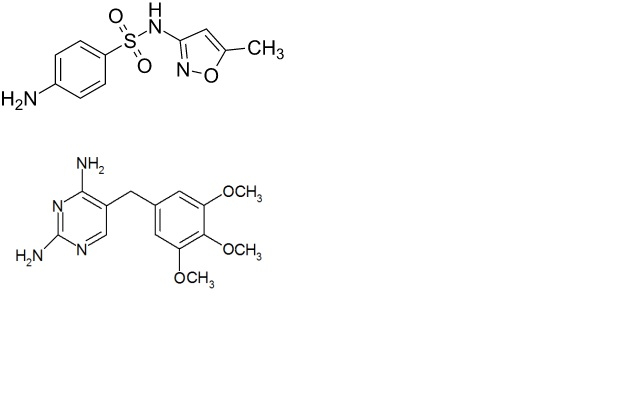
   χημική δομή  

Πόσιμο διάλυμα
Σταθερότητα και συμβατότητα των φαρμάκων   Πόσιμο διάλυμα   Σταθερότητα και συμβατότητα των φαρμάκων : Co-trimoxazole     
Υποδοχέας Origine Έκδοχο Θερμοκρασία Αποθήκευση Διάρκεια σταθερότητας Βιβλιογραφία
Πλαστικό μπουκάλι Σκόνη 2000/400 mg
® = ?
Oral Mix® >> 50 mL
25°C Προστατεύετε από το φως
14 Ημέρα
4638

Πλαστικό μπουκάλι Σκόνη 2000/400 mg
® = ?
Oral Mix SF® >> 50 mL
25°C Προστατεύετε από το φως
14 Ημέρα
4638

Πλαστικό μπουκάλι Σκόνη 2000/400 mg
® = ?
Oral Mix® >> 50 mL
5°C Προστατεύετε από το φως
90 Ημέρα
4638

Πλαστικό μπουκάλι Σκόνη 2000/400 mg
® = ?
Oral Mix SF® >> 50 mL
5°C Προστατεύετε από το φως
14 Ημέρα
4638

Σύριγγα Σκόνη 100/20 mg
® = ?
Oral Mix® >> 2,5 mL
25°C Προστατεύετε από το φως
14 Ημέρα
4638

Σύριγγα Σκόνη 100/20 mg
® = ?
Oral Mix SF® >> 2,5 mL
25°C Προστατεύετε από το φως
7 Ημέρα
4638

Σύριγγα Σκόνη 100/20 mg
® = ?
Oral Mix® >> 2,5 mL
5°C Προστατεύετε από το φως
90 Ημέρα
4638

Σύριγγα Σκόνη 100/20 mg
® = ?
Oral Mix SF® >> 2,5 mL
5°C Προστατεύετε από το φως
90 Ημέρα
4638


  Mentions Légales