Ultimo aggiornamento :
18/03/2026
Antibiotico   Co-trimoxazole  
Soluzione orale
Iniezione
Stabilità dei preparati farmaceutici Stabilità in miscela Fattori che influenzano la stabilità Compatibilità Bibliografia pdf
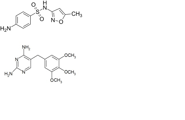
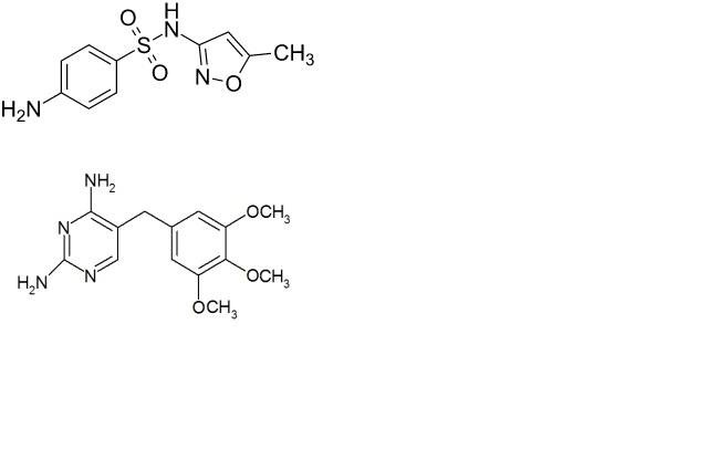
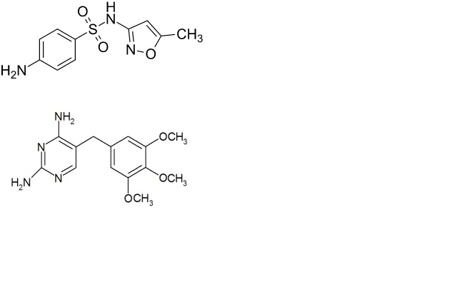
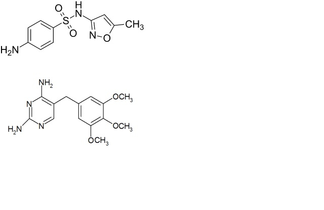
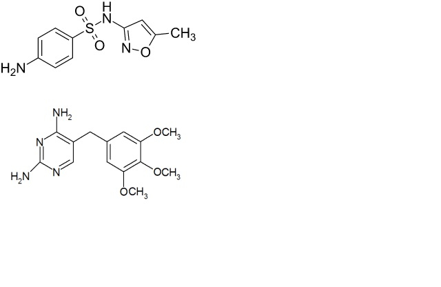
   Struttura chimica  

Soluzione orale
Stabilità dei preparati farmaceutici   Soluzione orale   Stabilità dei preparati farmaceutici : Co-trimoxazole     
contenitore Origine eccipiente Temperatura Conservazione Durata della stabilità Bibliografia
bottiglia di plastica polvere 2000/400 mg
® = ?
Oral Mix® >> 50 mL
25°C Al riparo dalla luce
14 Giorno
4638

bottiglia di plastica polvere 2000/400 mg
® = ?
Oral Mix SF® >> 50 mL
25°C Al riparo dalla luce
14 Giorno
4638

bottiglia di plastica polvere 2000/400 mg
® = ?
Oral Mix® >> 50 mL
5°C Al riparo dalla luce
90 Giorno
4638

bottiglia di plastica polvere 2000/400 mg
® = ?
Oral Mix SF® >> 50 mL
5°C Al riparo dalla luce
14 Giorno
4638

siringa polvere 100/20 mg
® = ?
Oral Mix® >> 2,5 mL
25°C Al riparo dalla luce
14 Giorno
4638

siringa polvere 100/20 mg
® = ?
Oral Mix SF® >> 2,5 mL
25°C Al riparo dalla luce
7 Giorno
4638

siringa polvere 100/20 mg
® = ?
Oral Mix® >> 2,5 mL
5°C Al riparo dalla luce
90 Giorno
4638

siringa polvere 100/20 mg
® = ?
Oral Mix SF® >> 2,5 mL
5°C Al riparo dalla luce
90 Giorno
4638


  Mentions Légales