Cập nhật lần cuối :
18/03/2026
Hormon   Estrone  
Dạng bôi da
Tính ổn định của các chế phẩm Độ ổn định khi trộn lẫn Những yếu tố ảnh hưởng đến độ ổn định Khả năng tương thích Tài liệu tham khảo Pdf
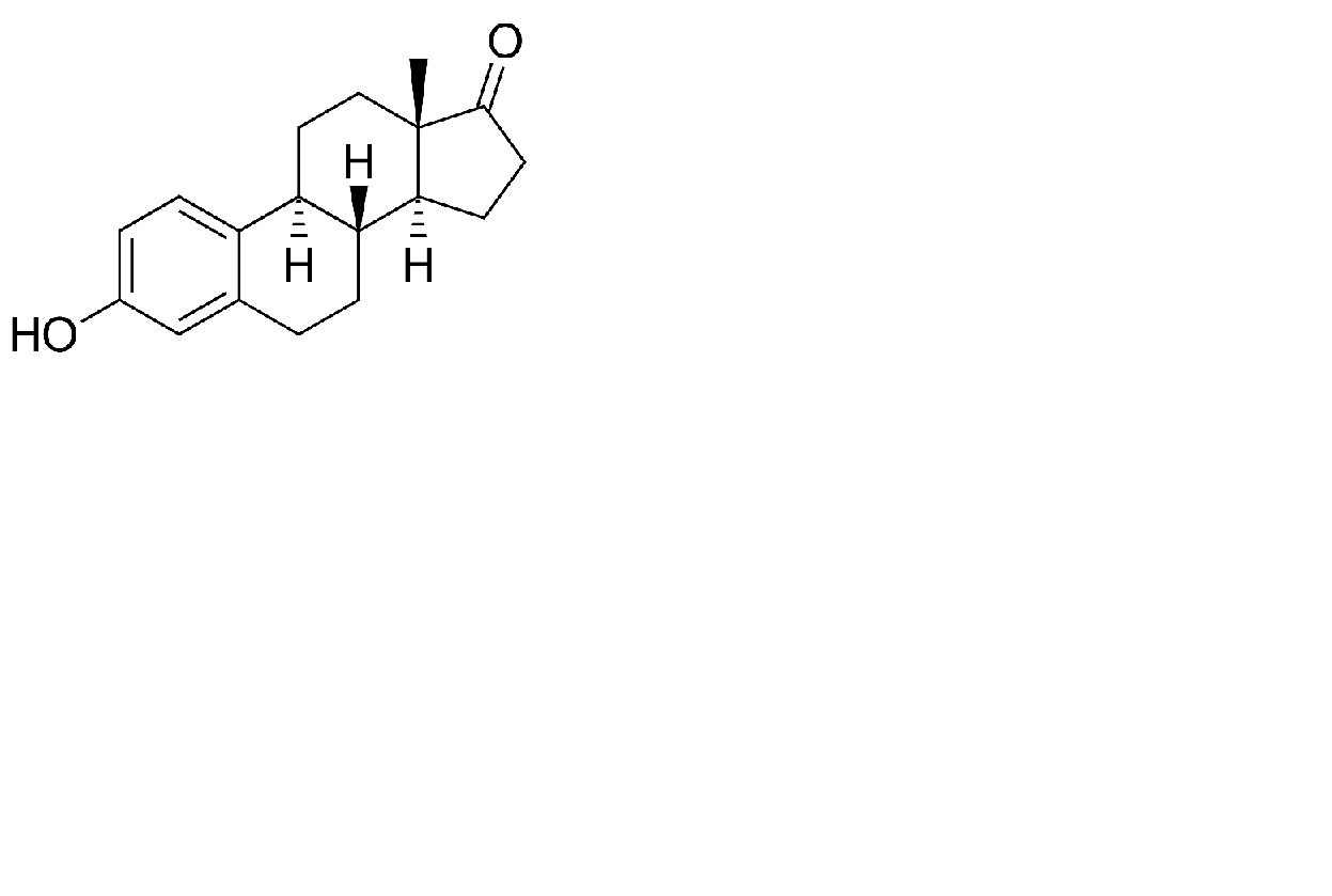
   Cấu trúc hóa học  

Dạng bôi da
Độ ổn định khi trộn lẫn   Dạng bôi da   Độ ổn định khi trộn lẫn : Estrone     
Bao bì Tá dược Phân tử Nhiệt độ Bảo quản Thời gian ổn định Mục lục
Thủy tinh
Transcutol® 10 g
Versatile® >> 100 g
Dạng bôi da   Estrone Bột1 g  ® = ?
Dạng bôi da   Estriol Bột2 g  ® = ?
Dạng bôi da   Estradiol Bột1 g  ® = ?
Dạng bôi da   Progestérone Bột20 g  ® = ?
Dạng bôi da   Testostérone Bột5 g  ® = ?
2-8°C
180 Ngày
Tránh ánh sáng 4598
Thủy tinh
Transcutol® 10 g
Fitalite® >> 100 g
Dạng bôi da   Estrone Bột1 g  ® = ?
Dạng bôi da   Estriol Bột2 g  ® = ?
Dạng bôi da   Estradiol Bột1 g  ® = ?
Dạng bôi da   Progestérone Bột20 g  ® = ?
Dạng bôi da   Testostérone Bột5 g  ® = ?
2-8°C
180 Ngày
Tránh ánh sáng 4598
Thủy tinh
Transcutol® 10 g
HRT Supreme® >> 100 g
Dạng bôi da   Estrone Bột1 g  ® = ?
Dạng bôi da   Estriol Bột2 g  ® = ?
Dạng bôi da   Estradiol Bột1 g  ® = ?
Dạng bôi da   Progestérone Bột20 g  ® = ?
Dạng bôi da   Testostérone Bột5 g  ® = ?
2-8°C
180 Ngày
Tránh ánh sáng 4598
Thủy tinh
Transcutol® 10 g
Versatile® >> 100 g
Dạng bôi da   Estrone Bột1 g  ® = ?
Dạng bôi da   Estriol Bột2 g  ® = ?
Dạng bôi da   Estradiol Bột1 g  ® = ?
Dạng bôi da   Progestérone Bột20 g  ® = ?
Dạng bôi da   Testostérone Bột5 g  ® = ?
20-25°C
180 Ngày
Tránh ánh sáng 4598
Thủy tinh
Transcutol® 10 g
Fitalite® >> 100 g
Dạng bôi da   Estrone Bột1 g  ® = ?
Dạng bôi da   Estriol Bột2 g  ® = ?
Dạng bôi da   Estradiol Bột1 g  ® = ?
Dạng bôi da   Progestérone Bột20 g  ® = ?
Dạng bôi da   Testostérone Bột5 g  ® = ?
20-25°C
180 Ngày
Tránh ánh sáng 4598
Thủy tinh
Transcutol® 10 g
HRT Supreme® >> 100 g
Dạng bôi da   Estrone Bột1 g  ® = ?
Dạng bôi da   Estriol Bột2 g  ® = ?
Dạng bôi da   Estradiol Bột1 g  ® = ?
Dạng bôi da   Progestérone Bột20 g  ® = ?
Dạng bôi da   Testostérone Bột5 g  ® = ?
20-25°C
180 Ngày
Tránh ánh sáng 4598

  Mentions Légales