Senaste uppdateringen :
18/03/2026
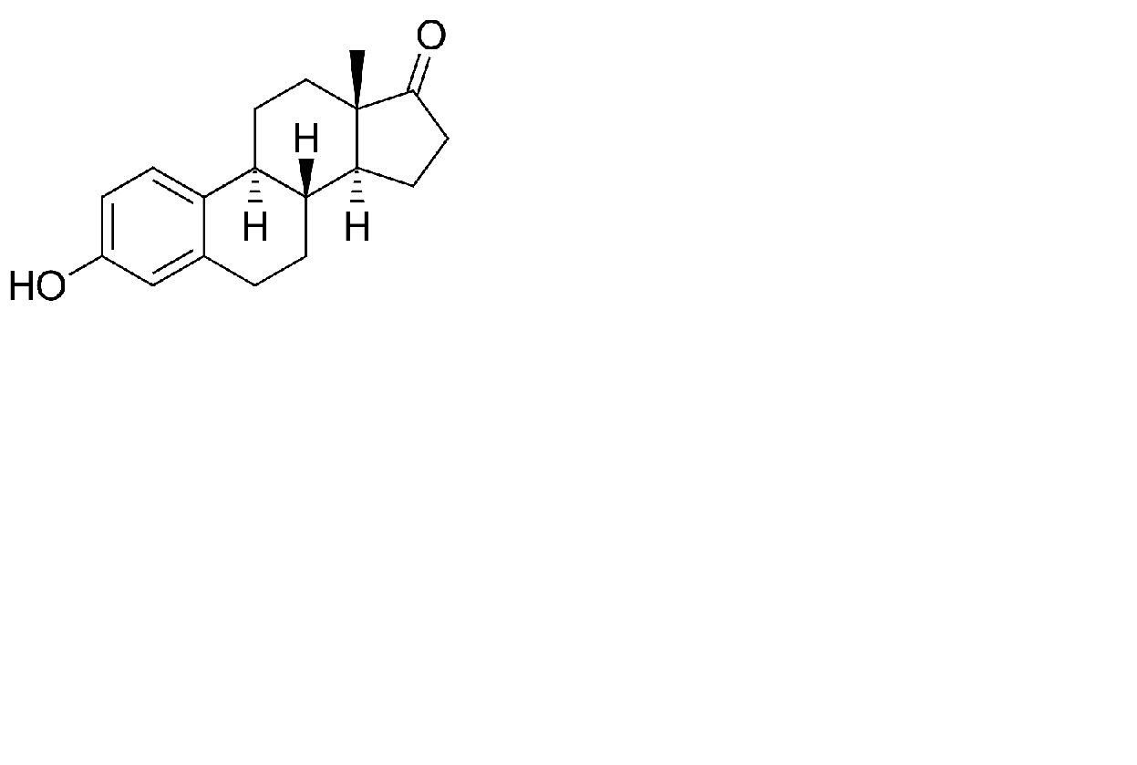
Hormon   Estrone  
Salvor
Stabilitet av läkemedel Stabilitet i blandningar Faktorer som påverkar stabiliteten Kompatibilitet Hänvisningar pdf
   Molekylstruktur  

Salvor
Stabilitet i blandningar   Salvor   Stabilitet i blandningar : Estrone     
Behållare Hjälpämne Substans Temperatur Förvaring Stabilitets varaktighet Hänvisningar
Glas
Transcutol® 10 g
Versatile® >> 100 g
Salvor   Estrone Pulver1 g  ® = ?
Salvor   Estriol Pulver2 g  ® = ?
Salvor   Estradiol Pulver1 g  ® = ?
Salvor   Progestérone Pulver20 g  ® = ?
Salvor   Testostérone Pulver5 g  ® = ?
2-8°C
180 Dag
Skyddas från ljus 4598
Glas
Transcutol® 10 g
Fitalite® >> 100 g
Salvor   Estrone Pulver1 g  ® = ?
Salvor   Estriol Pulver2 g  ® = ?
Salvor   Estradiol Pulver1 g  ® = ?
Salvor   Progestérone Pulver20 g  ® = ?
Salvor   Testostérone Pulver5 g  ® = ?
2-8°C
180 Dag
Skyddas från ljus 4598
Glas
Transcutol® 10 g
HRT Supreme® >> 100 g
Salvor   Estrone Pulver1 g  ® = ?
Salvor   Estriol Pulver2 g  ® = ?
Salvor   Estradiol Pulver1 g  ® = ?
Salvor   Progestérone Pulver20 g  ® = ?
Salvor   Testostérone Pulver5 g  ® = ?
2-8°C
180 Dag
Skyddas från ljus 4598
Glas
Transcutol® 10 g
Versatile® >> 100 g
Salvor   Estrone Pulver1 g  ® = ?
Salvor   Estriol Pulver2 g  ® = ?
Salvor   Estradiol Pulver1 g  ® = ?
Salvor   Progestérone Pulver20 g  ® = ?
Salvor   Testostérone Pulver5 g  ® = ?
20-25°C
180 Dag
Skyddas från ljus 4598
Glas
Transcutol® 10 g
Fitalite® >> 100 g
Salvor   Estrone Pulver1 g  ® = ?
Salvor   Estriol Pulver2 g  ® = ?
Salvor   Estradiol Pulver1 g  ® = ?
Salvor   Progestérone Pulver20 g  ® = ?
Salvor   Testostérone Pulver5 g  ® = ?
20-25°C
180 Dag
Skyddas från ljus 4598
Glas
Transcutol® 10 g
HRT Supreme® >> 100 g
Salvor   Estrone Pulver1 g  ® = ?
Salvor   Estriol Pulver2 g  ® = ?
Salvor   Estradiol Pulver1 g  ® = ?
Salvor   Progestérone Pulver20 g  ® = ?
Salvor   Testostérone Pulver5 g  ® = ?
20-25°C
180 Dag
Skyddas från ljus 4598

  Mentions Légales