Laatste update :
18/03/2026
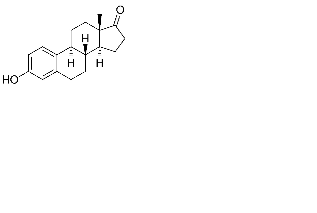
Hormoon   Estrone  
zalf
Stabiliteit van farmaceutische preparaten Stabiliteit in mengsels Factoren die de stabiliteit beïnvloeden Verenigbaarheden Literatuur pdf
   Molecuulstructuur  

zalf
Stabiliteit in mengsels   zalf   Stabiliteit in mengsels : Estrone     
Verpakking  ikˈsipēənt hulpstof Stof Temperatuur Bewaring Duur van de stabiliteit Literatuur
Glas
Transcutol® 10 g
Versatile® >> 100 g
zalf   Estrone poeder1 g  ® = ?
zalf   Estriol poeder2 g  ® = ?
zalf   Estradiol poeder1 g  ® = ?
zalf   Progestérone poeder20 g  ® = ?
zalf   Testostérone poeder5 g  ® = ?
2-8°C
180 Dag
Buiten invloed van licht 4598
Glas
Transcutol® 10 g
Fitalite® >> 100 g
zalf   Estrone poeder1 g  ® = ?
zalf   Estriol poeder2 g  ® = ?
zalf   Estradiol poeder1 g  ® = ?
zalf   Progestérone poeder20 g  ® = ?
zalf   Testostérone poeder5 g  ® = ?
2-8°C
180 Dag
Buiten invloed van licht 4598
Glas
Transcutol® 10 g
HRT Supreme® >> 100 g
zalf   Estrone poeder1 g  ® = ?
zalf   Estriol poeder2 g  ® = ?
zalf   Estradiol poeder1 g  ® = ?
zalf   Progestérone poeder20 g  ® = ?
zalf   Testostérone poeder5 g  ® = ?
2-8°C
180 Dag
Buiten invloed van licht 4598
Glas
Transcutol® 10 g
Versatile® >> 100 g
zalf   Estrone poeder1 g  ® = ?
zalf   Estriol poeder2 g  ® = ?
zalf   Estradiol poeder1 g  ® = ?
zalf   Progestérone poeder20 g  ® = ?
zalf   Testostérone poeder5 g  ® = ?
20-25°C
180 Dag
Buiten invloed van licht 4598
Glas
Transcutol® 10 g
Fitalite® >> 100 g
zalf   Estrone poeder1 g  ® = ?
zalf   Estriol poeder2 g  ® = ?
zalf   Estradiol poeder1 g  ® = ?
zalf   Progestérone poeder20 g  ® = ?
zalf   Testostérone poeder5 g  ® = ?
20-25°C
180 Dag
Buiten invloed van licht 4598
Glas
Transcutol® 10 g
HRT Supreme® >> 100 g
zalf   Estrone poeder1 g  ® = ?
zalf   Estriol poeder2 g  ® = ?
zalf   Estradiol poeder1 g  ® = ?
zalf   Progestérone poeder20 g  ® = ?
zalf   Testostérone poeder5 g  ® = ?
20-25°C
180 Dag
Buiten invloed van licht 4598

  Mentions Légales