Ostatnia aktualizacja :
18/03/2026
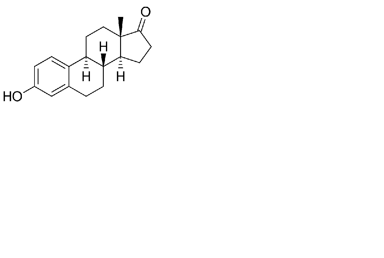
Hormon   Estrone  
Maści
Stabilność preparatów farmaceutycznych Trwałość w mieszaninie Czynnik wpływający na trwałość Zgodność Bibliografia pdf
   Struktura chemiczna  

Maści
Trwałość w mieszaninie   Maści   Trwałość w mieszaninie : Estrone     
Pojemnik Substancja pomocniczna Związek Temperatura Przechowywanie Czas trwania stabilności Bibliografia
Szkło
Transcutol® 10 g
Versatile® >> 100 g
Maści   Estrone Proszek1 g  ® = ?
Maści   Estriol Proszek2 g  ® = ?
Maści   Estradiol Proszek1 g  ® = ?
Maści   Progestérone Proszek20 g  ® = ?
Maści   Testostérone Proszek5 g  ® = ?
2-8°C
180 Dzień
Chronić od światła 4598
Szkło
Transcutol® 10 g
Fitalite® >> 100 g
Maści   Estrone Proszek1 g  ® = ?
Maści   Estriol Proszek2 g  ® = ?
Maści   Estradiol Proszek1 g  ® = ?
Maści   Progestérone Proszek20 g  ® = ?
Maści   Testostérone Proszek5 g  ® = ?
2-8°C
180 Dzień
Chronić od światła 4598
Szkło
Transcutol® 10 g
HRT Supreme® >> 100 g
Maści   Estrone Proszek1 g  ® = ?
Maści   Estriol Proszek2 g  ® = ?
Maści   Estradiol Proszek1 g  ® = ?
Maści   Progestérone Proszek20 g  ® = ?
Maści   Testostérone Proszek5 g  ® = ?
2-8°C
180 Dzień
Chronić od światła 4598
Szkło
Transcutol® 10 g
Versatile® >> 100 g
Maści   Estrone Proszek1 g  ® = ?
Maści   Estriol Proszek2 g  ® = ?
Maści   Estradiol Proszek1 g  ® = ?
Maści   Progestérone Proszek20 g  ® = ?
Maści   Testostérone Proszek5 g  ® = ?
20-25°C
180 Dzień
Chronić od światła 4598
Szkło
Transcutol® 10 g
Fitalite® >> 100 g
Maści   Estrone Proszek1 g  ® = ?
Maści   Estriol Proszek2 g  ® = ?
Maści   Estradiol Proszek1 g  ® = ?
Maści   Progestérone Proszek20 g  ® = ?
Maści   Testostérone Proszek5 g  ® = ?
20-25°C
180 Dzień
Chronić od światła 4598
Szkło
Transcutol® 10 g
HRT Supreme® >> 100 g
Maści   Estrone Proszek1 g  ® = ?
Maści   Estriol Proszek2 g  ® = ?
Maści   Estradiol Proszek1 g  ® = ?
Maści   Progestérone Proszek20 g  ® = ?
Maści   Testostérone Proszek5 g  ® = ?
20-25°C
180 Dzień
Chronić od światła 4598

  Mentions Légales