Posledná aktualizácia :
27/11/2025
Hormón   Estrone  
Dermálny prípravok
Stabilita farmaceutických prípravkov Stabilita v zmesiach Faktory ovplyvňujúce stabilitu Kompatibility Odkazy na literatúru PDF
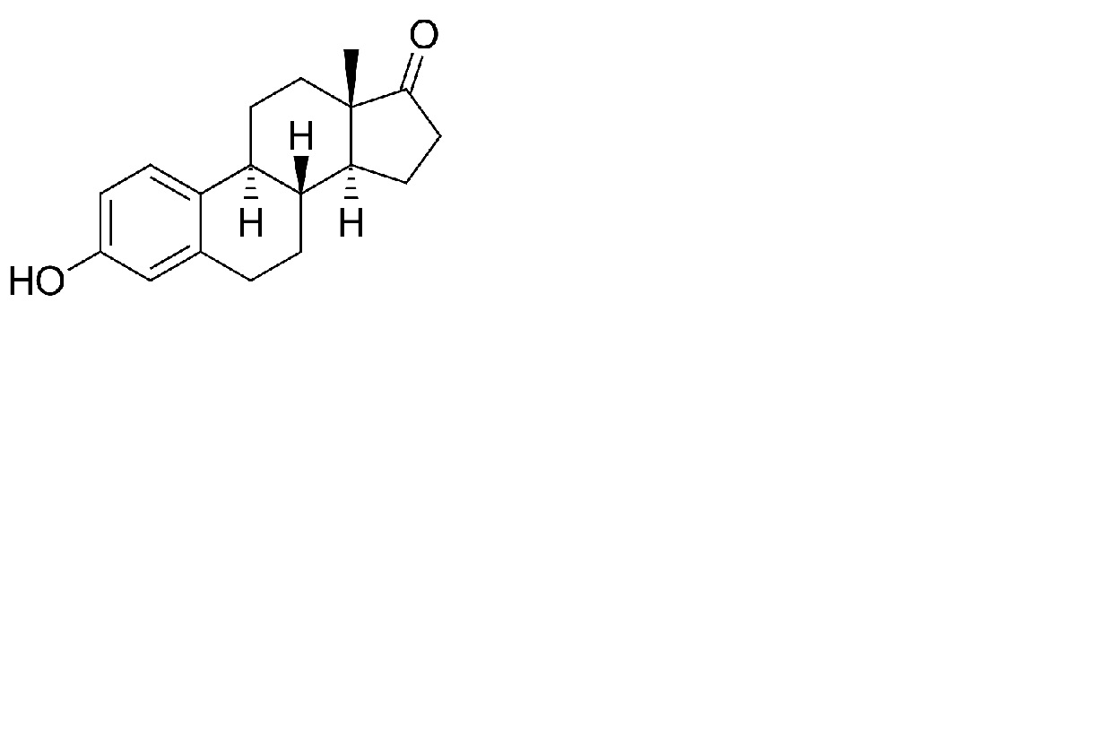
   Chemický vzorec  

Dermálny prípravok
Stabilita v zmesiach   Dermálny prípravok   Stabilita v zmesiach : Estrone     
obal Pomocná látka Zlúčenina teplota uchovávanie Trvanie stability odkazy na lieteratúru
Sklo
Transcutol® 10 g
Versatile® >> 100 g
Dermálny prípravok   Estrone Prášok1 g  ® = ?
Dermálny prípravok   Estriol Prášok2 g  ® = ?
Dermálny prípravok   Estradiol Prášok1 g  ® = ?
Dermálny prípravok   Progestérone Prášok20 g  ® = ?
Dermálny prípravok   Testostérone Prášok5 g  ® = ?
2-8°C
180 dní
Chránené pred svetlom 4598
Sklo
Transcutol® 10 g
Fitalite® >> 100 g
Dermálny prípravok   Estrone Prášok1 g  ® = ?
Dermálny prípravok   Estriol Prášok2 g  ® = ?
Dermálny prípravok   Estradiol Prášok1 g  ® = ?
Dermálny prípravok   Progestérone Prášok20 g  ® = ?
Dermálny prípravok   Testostérone Prášok5 g  ® = ?
2-8°C
180 dní
Chránené pred svetlom 4598
Sklo
Transcutol® 10 g
HRT Supreme® >> 100 g
Dermálny prípravok   Estrone Prášok1 g  ® = ?
Dermálny prípravok   Estriol Prášok2 g  ® = ?
Dermálny prípravok   Estradiol Prášok1 g  ® = ?
Dermálny prípravok   Progestérone Prášok20 g  ® = ?
Dermálny prípravok   Testostérone Prášok5 g  ® = ?
2-8°C
180 dní
Chránené pred svetlom 4598
Sklo
Transcutol® 10 g
Versatile® >> 100 g
Dermálny prípravok   Estrone Prášok1 g  ® = ?
Dermálny prípravok   Estriol Prášok2 g  ® = ?
Dermálny prípravok   Estradiol Prášok1 g  ® = ?
Dermálny prípravok   Progestérone Prášok20 g  ® = ?
Dermálny prípravok   Testostérone Prášok5 g  ® = ?
20-25°C
180 dní
Chránené pred svetlom 4598
Sklo
Transcutol® 10 g
Fitalite® >> 100 g
Dermálny prípravok   Estrone Prášok1 g  ® = ?
Dermálny prípravok   Estriol Prášok2 g  ® = ?
Dermálny prípravok   Estradiol Prášok1 g  ® = ?
Dermálny prípravok   Progestérone Prášok20 g  ® = ?
Dermálny prípravok   Testostérone Prášok5 g  ® = ?
20-25°C
180 dní
Chránené pred svetlom 4598
Sklo
Transcutol® 10 g
HRT Supreme® >> 100 g
Dermálny prípravok   Estrone Prášok1 g  ® = ?
Dermálny prípravok   Estriol Prášok2 g  ® = ?
Dermálny prípravok   Estradiol Prášok1 g  ® = ?
Dermálny prípravok   Progestérone Prášok20 g  ® = ?
Dermálny prípravok   Testostérone Prášok5 g  ® = ?
20-25°C
180 dní
Chránené pred svetlom 4598

  Mentions Légales