Ultimo aggiornamento :
18/03/2026
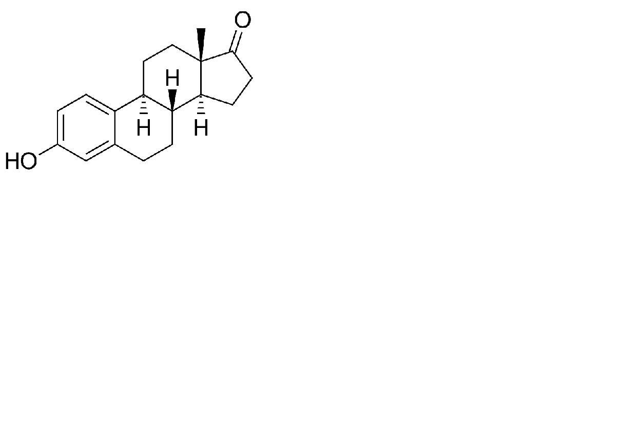
Ormone   Estrone  
Unguenti
Stabilità dei preparati farmaceutici Stabilità in miscela Fattori che influenzano la stabilità Compatibilità Bibliografia pdf
   Struttura chimica  

Unguenti
Stabilità in miscela   Unguenti   Stabilità in miscela : Estrone     
contenitore eccipiente Molecola Temperatura Conservazione Durata della stabilità Bibliografia
Vetro
Transcutol® 10 g
Versatile® >> 100 g
Unguenti   Estrone polvere1 g  ® = ?
Unguenti   Estriol polvere2 g  ® = ?
Unguenti   Estradiol polvere1 g  ® = ?
Unguenti   Progestérone polvere20 g  ® = ?
Unguenti   Testostérone polvere5 g  ® = ?
2-8°C
180 Giorno
Al riparo dalla luce 4598
Vetro
Transcutol® 10 g
Fitalite® >> 100 g
Unguenti   Estrone polvere1 g  ® = ?
Unguenti   Estriol polvere2 g  ® = ?
Unguenti   Estradiol polvere1 g  ® = ?
Unguenti   Progestérone polvere20 g  ® = ?
Unguenti   Testostérone polvere5 g  ® = ?
2-8°C
180 Giorno
Al riparo dalla luce 4598
Vetro
Transcutol® 10 g
HRT Supreme® >> 100 g
Unguenti   Estrone polvere1 g  ® = ?
Unguenti   Estriol polvere2 g  ® = ?
Unguenti   Estradiol polvere1 g  ® = ?
Unguenti   Progestérone polvere20 g  ® = ?
Unguenti   Testostérone polvere5 g  ® = ?
2-8°C
180 Giorno
Al riparo dalla luce 4598
Vetro
Transcutol® 10 g
Versatile® >> 100 g
Unguenti   Estrone polvere1 g  ® = ?
Unguenti   Estriol polvere2 g  ® = ?
Unguenti   Estradiol polvere1 g  ® = ?
Unguenti   Progestérone polvere20 g  ® = ?
Unguenti   Testostérone polvere5 g  ® = ?
20-25°C
180 Giorno
Al riparo dalla luce 4598
Vetro
Transcutol® 10 g
Fitalite® >> 100 g
Unguenti   Estrone polvere1 g  ® = ?
Unguenti   Estriol polvere2 g  ® = ?
Unguenti   Estradiol polvere1 g  ® = ?
Unguenti   Progestérone polvere20 g  ® = ?
Unguenti   Testostérone polvere5 g  ® = ?
20-25°C
180 Giorno
Al riparo dalla luce 4598
Vetro
Transcutol® 10 g
HRT Supreme® >> 100 g
Unguenti   Estrone polvere1 g  ® = ?
Unguenti   Estriol polvere2 g  ® = ?
Unguenti   Estradiol polvere1 g  ® = ?
Unguenti   Progestérone polvere20 g  ® = ?
Unguenti   Testostérone polvere5 g  ® = ?
20-25°C
180 Giorno
Al riparo dalla luce 4598

  Mentions Légales