Viimeisin päivitys :
18/03/2026
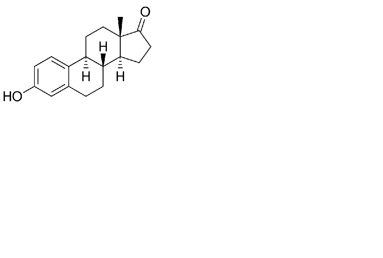
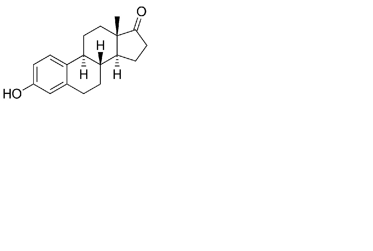
Hormoneja   Estrone  
Salvat
Vakaus lääkevalmisteen Stabilius seoksissa Tekijät, jotka vaikuttavat stabiliuteen Yhteensopivuus Viitteet pdf
   Kemiallinen rakenne  

Salvat
Stabilius seoksissa   Salvat   Stabilius seoksissa : Estrone     
Astia Apuaine Yhdiste Lämpötila Säilytys Vakauden kesto Viitteet
Lasi
Transcutol® 10 g
Versatile® >> 100 g
Salvat   Estrone Jauhe1 g  ® = ?
Salvat   Estriol Jauhe2 g  ® = ?
Salvat   Estradiol Jauhe1 g  ® = ?
Salvat   Progestérone Jauhe20 g  ® = ?
Salvat   Testostérone Jauhe5 g  ® = ?
2-8°C
180 Päivä
Suojattava valolta 4598
Lasi
Transcutol® 10 g
Fitalite® >> 100 g
Salvat   Estrone Jauhe1 g  ® = ?
Salvat   Estriol Jauhe2 g  ® = ?
Salvat   Estradiol Jauhe1 g  ® = ?
Salvat   Progestérone Jauhe20 g  ® = ?
Salvat   Testostérone Jauhe5 g  ® = ?
2-8°C
180 Päivä
Suojattava valolta 4598
Lasi
Transcutol® 10 g
HRT Supreme® >> 100 g
Salvat   Estrone Jauhe1 g  ® = ?
Salvat   Estriol Jauhe2 g  ® = ?
Salvat   Estradiol Jauhe1 g  ® = ?
Salvat   Progestérone Jauhe20 g  ® = ?
Salvat   Testostérone Jauhe5 g  ® = ?
2-8°C
180 Päivä
Suojattava valolta 4598
Lasi
Transcutol® 10 g
Versatile® >> 100 g
Salvat   Estrone Jauhe1 g  ® = ?
Salvat   Estriol Jauhe2 g  ® = ?
Salvat   Estradiol Jauhe1 g  ® = ?
Salvat   Progestérone Jauhe20 g  ® = ?
Salvat   Testostérone Jauhe5 g  ® = ?
20-25°C
180 Päivä
Suojattava valolta 4598
Lasi
Transcutol® 10 g
Fitalite® >> 100 g
Salvat   Estrone Jauhe1 g  ® = ?
Salvat   Estriol Jauhe2 g  ® = ?
Salvat   Estradiol Jauhe1 g  ® = ?
Salvat   Progestérone Jauhe20 g  ® = ?
Salvat   Testostérone Jauhe5 g  ® = ?
20-25°C
180 Päivä
Suojattava valolta 4598
Lasi
Transcutol® 10 g
HRT Supreme® >> 100 g
Salvat   Estrone Jauhe1 g  ® = ?
Salvat   Estriol Jauhe2 g  ® = ?
Salvat   Estradiol Jauhe1 g  ® = ?
Salvat   Progestérone Jauhe20 g  ® = ?
Salvat   Testostérone Jauhe5 g  ® = ?
20-25°C
180 Päivä
Suojattava valolta 4598

  Mentions Légales