Utolsó frissítés :
18/03/2026
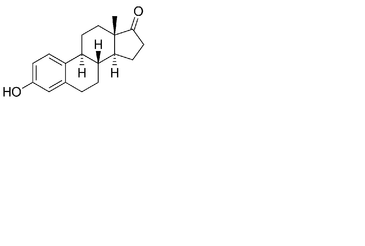
Hormonnal   Estrone  
kenőcs
Stabilitása gyógyszerészeti készítmények A keverékek stabilitása Stabilitást befolyásoló tényezők Kompatibilitás Irodalom pdf
   Kémiai szerkezet   

kenőcs
A keverékek stabilitása   kenőcs   A keverékek stabilitása : Estrone     
Csomagolás segédanyag Vegyület Hőmérséklet Tárolás A stabilitás időtartama Irodalom
Üveg
Transcutol® 10 g
Versatile® >> 100 g
kenőcs   Estrone por1 g  ® = ?
kenőcs   Estriol por2 g  ® = ?
kenőcs   Estradiol por1 g  ® = ?
kenőcs   Progestérone por20 g  ® = ?
kenőcs   Testostérone por5 g  ® = ?
2-8°C
180 Nap
Fénytől védve tartandó 4598
Üveg
Transcutol® 10 g
Fitalite® >> 100 g
kenőcs   Estrone por1 g  ® = ?
kenőcs   Estriol por2 g  ® = ?
kenőcs   Estradiol por1 g  ® = ?
kenőcs   Progestérone por20 g  ® = ?
kenőcs   Testostérone por5 g  ® = ?
2-8°C
180 Nap
Fénytől védve tartandó 4598
Üveg
Transcutol® 10 g
HRT Supreme® >> 100 g
kenőcs   Estrone por1 g  ® = ?
kenőcs   Estriol por2 g  ® = ?
kenőcs   Estradiol por1 g  ® = ?
kenőcs   Progestérone por20 g  ® = ?
kenőcs   Testostérone por5 g  ® = ?
2-8°C
180 Nap
Fénytől védve tartandó 4598
Üveg
Transcutol® 10 g
Versatile® >> 100 g
kenőcs   Estrone por1 g  ® = ?
kenőcs   Estriol por2 g  ® = ?
kenőcs   Estradiol por1 g  ® = ?
kenőcs   Progestérone por20 g  ® = ?
kenőcs   Testostérone por5 g  ® = ?
20-25°C
180 Nap
Fénytől védve tartandó 4598
Üveg
Transcutol® 10 g
Fitalite® >> 100 g
kenőcs   Estrone por1 g  ® = ?
kenőcs   Estriol por2 g  ® = ?
kenőcs   Estradiol por1 g  ® = ?
kenőcs   Progestérone por20 g  ® = ?
kenőcs   Testostérone por5 g  ® = ?
20-25°C
180 Nap
Fénytől védve tartandó 4598
Üveg
Transcutol® 10 g
HRT Supreme® >> 100 g
kenőcs   Estrone por1 g  ® = ?
kenőcs   Estriol por2 g  ® = ?
kenőcs   Estradiol por1 g  ® = ?
kenőcs   Progestérone por20 g  ® = ?
kenőcs   Testostérone por5 g  ® = ?
20-25°C
180 Nap
Fénytől védve tartandó 4598

  Mentions Légales