Останнє оновлення :
18/03/2026
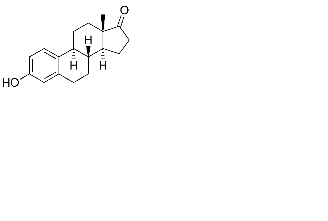
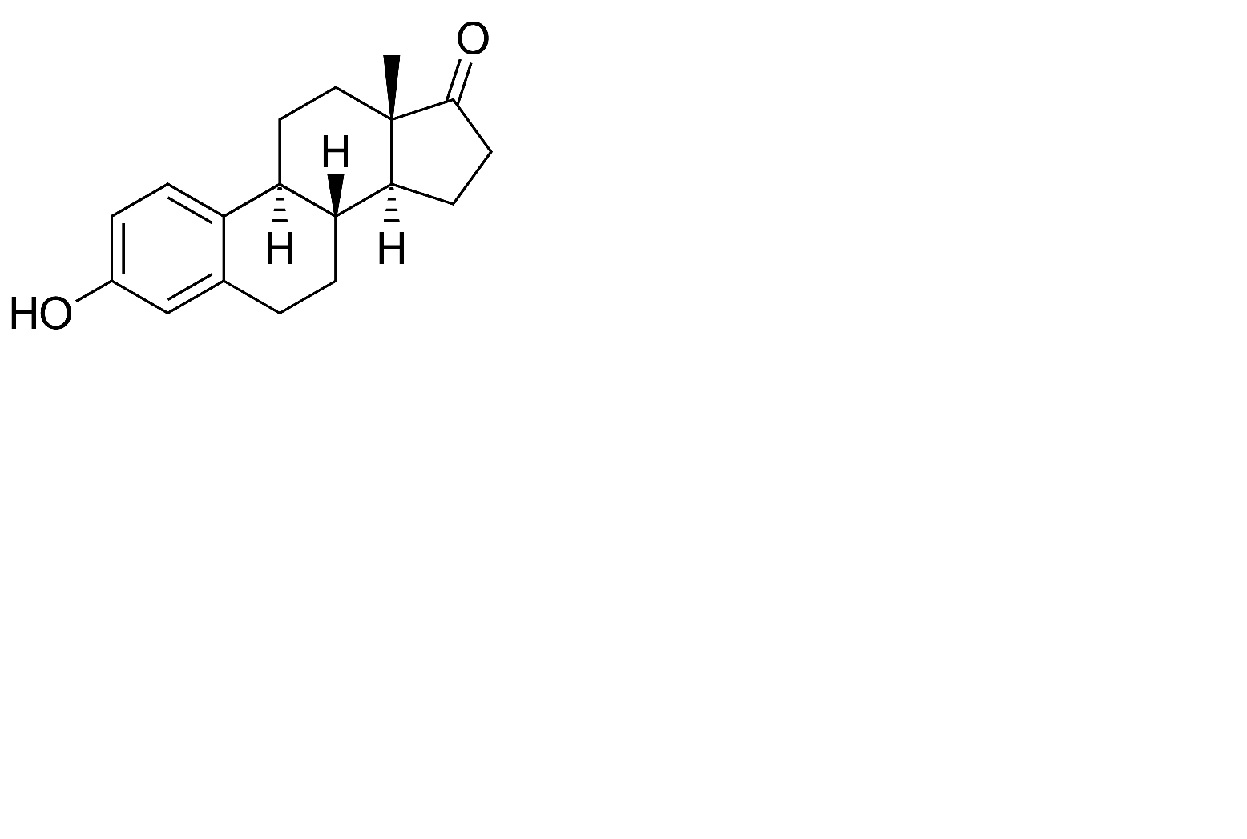
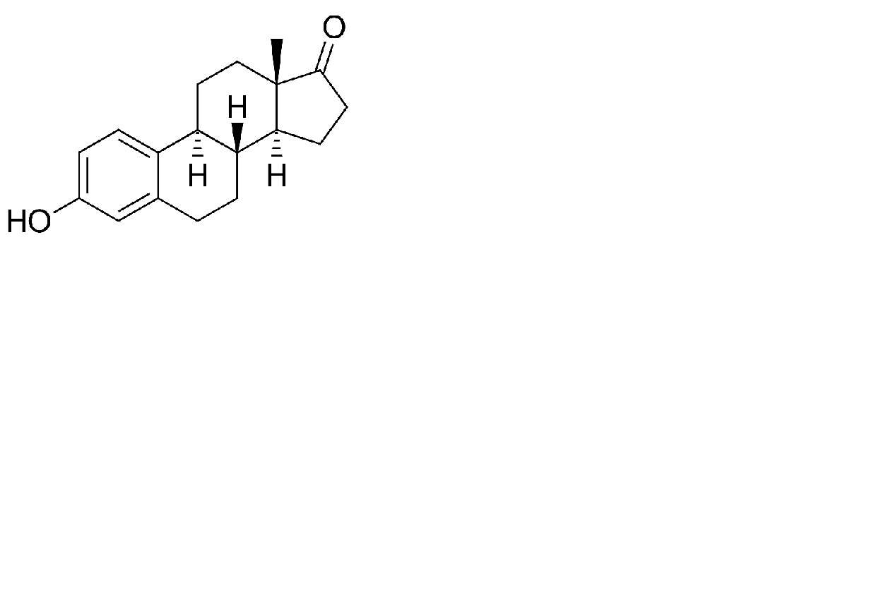
гормон   Estrone  
Мазі
Стабільність фармацевтичних препаратів Стійкість сумішей Фактори, що впливають на стабільність Сумісність Список літератури pdf
   Хімічна структура  

Мазі
Стійкість сумішей   Мазі   Стійкість сумішей : Estrone     
Контейнер допоміжна речовина З'єднання температура Зберігання Тривалість стабільності Список літератури
скло
Transcutol® 10 g
Versatile® >> 100 g
Мазі   Estrone powder1 g  ® = ?
Мазі   Estriol powder2 g  ® = ?
Мазі   Estradiol powder1 g  ® = ?
Мазі   Progestérone powder20 g  ® = ?
Мазі   Testostérone powder5 g  ® = ?
2-8°C
180 День
Берегти від світла 4598
скло
Transcutol® 10 g
Fitalite® >> 100 g
Мазі   Estrone powder1 g  ® = ?
Мазі   Estriol powder2 g  ® = ?
Мазі   Estradiol powder1 g  ® = ?
Мазі   Progestérone powder20 g  ® = ?
Мазі   Testostérone powder5 g  ® = ?
2-8°C
180 День
Берегти від світла 4598
скло
Transcutol® 10 g
HRT Supreme® >> 100 g
Мазі   Estrone powder1 g  ® = ?
Мазі   Estriol powder2 g  ® = ?
Мазі   Estradiol powder1 g  ® = ?
Мазі   Progestérone powder20 g  ® = ?
Мазі   Testostérone powder5 g  ® = ?
2-8°C
180 День
Берегти від світла 4598
скло
Transcutol® 10 g
Versatile® >> 100 g
Мазі   Estrone powder1 g  ® = ?
Мазі   Estriol powder2 g  ® = ?
Мазі   Estradiol powder1 g  ® = ?
Мазі   Progestérone powder20 g  ® = ?
Мазі   Testostérone powder5 g  ® = ?
20-25°C
180 День
Берегти від світла 4598
скло
Transcutol® 10 g
Fitalite® >> 100 g
Мазі   Estrone powder1 g  ® = ?
Мазі   Estriol powder2 g  ® = ?
Мазі   Estradiol powder1 g  ® = ?
Мазі   Progestérone powder20 g  ® = ?
Мазі   Testostérone powder5 g  ® = ?
20-25°C
180 День
Берегти від світла 4598
скло
Transcutol® 10 g
HRT Supreme® >> 100 g
Мазі   Estrone powder1 g  ® = ?
Мазі   Estriol powder2 g  ® = ?
Мазі   Estradiol powder1 g  ® = ?
Мазі   Progestérone powder20 g  ® = ?
Мазі   Testostérone powder5 g  ® = ?
20-25°C
180 День
Берегти від світла 4598

  Mentions Légales