Последнее обновление :
18/03/2026
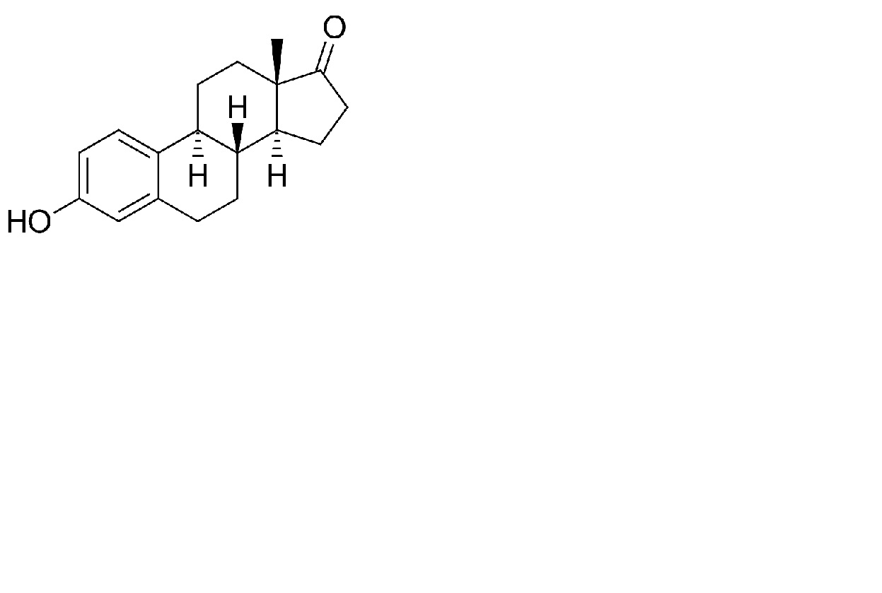
Гормон   Estrone  
Мази
Стабильность фармацевтических препаратов Стабильность смесей Факторы, которые влияют на стабильность Совместимость Библиография pdf
   Химическая структура  

Мази
Стабильность смесей   Мази   Стабильность смесей : Estrone     
Упаковка Наполнитель Молекула Температура Хранение Продолжительность стабильности Ссылки
Стекло
Transcutol® 10 g
Versatile® >> 100 g
Мази   Estrone Порошок1 g  ® = ?
Мази   Estriol Порошок2 g  ® = ?
Мази   Estradiol Порошок1 g  ® = ?
Мази   Progestérone Порошок20 g  ® = ?
Мази   Testostérone Порошок5 g  ® = ?
2-8°C
180 День
Защищён от света 4598
Стекло
Transcutol® 10 g
Fitalite® >> 100 g
Мази   Estrone Порошок1 g  ® = ?
Мази   Estriol Порошок2 g  ® = ?
Мази   Estradiol Порошок1 g  ® = ?
Мази   Progestérone Порошок20 g  ® = ?
Мази   Testostérone Порошок5 g  ® = ?
2-8°C
180 День
Защищён от света 4598
Стекло
Transcutol® 10 g
HRT Supreme® >> 100 g
Мази   Estrone Порошок1 g  ® = ?
Мази   Estriol Порошок2 g  ® = ?
Мази   Estradiol Порошок1 g  ® = ?
Мази   Progestérone Порошок20 g  ® = ?
Мази   Testostérone Порошок5 g  ® = ?
2-8°C
180 День
Защищён от света 4598
Стекло
Transcutol® 10 g
Versatile® >> 100 g
Мази   Estrone Порошок1 g  ® = ?
Мази   Estriol Порошок2 g  ® = ?
Мази   Estradiol Порошок1 g  ® = ?
Мази   Progestérone Порошок20 g  ® = ?
Мази   Testostérone Порошок5 g  ® = ?
20-25°C
180 День
Защищён от света 4598
Стекло
Transcutol® 10 g
Fitalite® >> 100 g
Мази   Estrone Порошок1 g  ® = ?
Мази   Estriol Порошок2 g  ® = ?
Мази   Estradiol Порошок1 g  ® = ?
Мази   Progestérone Порошок20 g  ® = ?
Мази   Testostérone Порошок5 g  ® = ?
20-25°C
180 День
Защищён от света 4598
Стекло
Transcutol® 10 g
HRT Supreme® >> 100 g
Мази   Estrone Порошок1 g  ® = ?
Мази   Estriol Порошок2 g  ® = ?
Мази   Estradiol Порошок1 g  ® = ?
Мази   Progestérone Порошок20 g  ® = ?
Мази   Testostérone Порошок5 g  ® = ?
20-25°C
180 День
Защищён от света 4598

  Mentions Légales