Poslední aktualizace :
27/11/2025
Hormonas   Estrone  
Tepalai
Stabilumas farmacinių preparatų Mišinių stabilumas Stabilumą lemiantys veiksniai Suderinamumas Bibliografija pdf
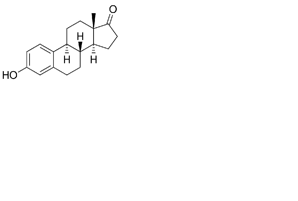
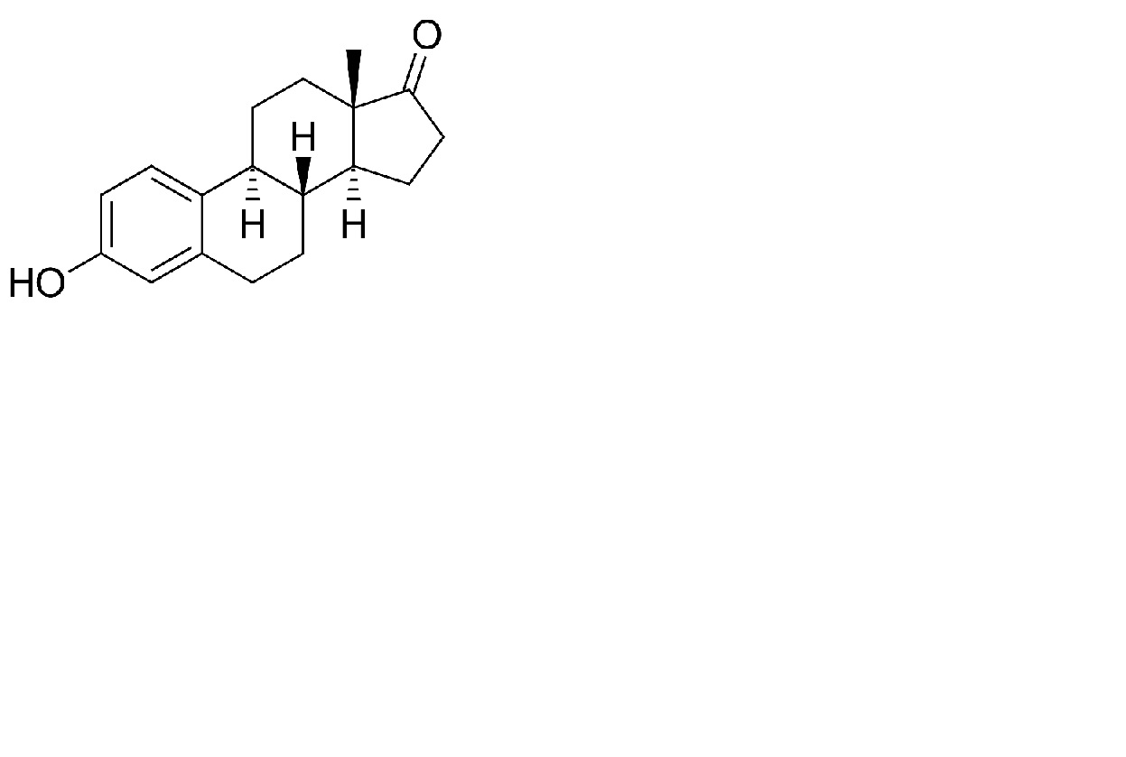
   Cheminė sandara  

Tepalai
Mišinių stabilumas   Tepalai   Mišinių stabilumas : Estrone     
Pakuotė Ekscipientas Molekulė Temperatūra Laikymas Stabilumo trukmė Nuorodos
Stiklas
Transcutol® 10 g
Versatile® >> 100 g
Tepalai   Estrone Milteliai1 g  ® = ?
Tepalai   Estriol Milteliai2 g  ® = ?
Tepalai   Estradiol Milteliai1 g  ® = ?
Tepalai   Progestérone Milteliai20 g  ® = ?
Tepalai   Testostérone Milteliai5 g  ® = ?
2-8°C
180 Diena
Apsaugotas nuo šviesos 4598
Stiklas
Transcutol® 10 g
Fitalite® >> 100 g
Tepalai   Estrone Milteliai1 g  ® = ?
Tepalai   Estriol Milteliai2 g  ® = ?
Tepalai   Estradiol Milteliai1 g  ® = ?
Tepalai   Progestérone Milteliai20 g  ® = ?
Tepalai   Testostérone Milteliai5 g  ® = ?
2-8°C
180 Diena
Apsaugotas nuo šviesos 4598
Stiklas
Transcutol® 10 g
HRT Supreme® >> 100 g
Tepalai   Estrone Milteliai1 g  ® = ?
Tepalai   Estriol Milteliai2 g  ® = ?
Tepalai   Estradiol Milteliai1 g  ® = ?
Tepalai   Progestérone Milteliai20 g  ® = ?
Tepalai   Testostérone Milteliai5 g  ® = ?
2-8°C
180 Diena
Apsaugotas nuo šviesos 4598
Stiklas
Transcutol® 10 g
Versatile® >> 100 g
Tepalai   Estrone Milteliai1 g  ® = ?
Tepalai   Estriol Milteliai2 g  ® = ?
Tepalai   Estradiol Milteliai1 g  ® = ?
Tepalai   Progestérone Milteliai20 g  ® = ?
Tepalai   Testostérone Milteliai5 g  ® = ?
20-25°C
180 Diena
Apsaugotas nuo šviesos 4598
Stiklas
Transcutol® 10 g
Fitalite® >> 100 g
Tepalai   Estrone Milteliai1 g  ® = ?
Tepalai   Estriol Milteliai2 g  ® = ?
Tepalai   Estradiol Milteliai1 g  ® = ?
Tepalai   Progestérone Milteliai20 g  ® = ?
Tepalai   Testostérone Milteliai5 g  ® = ?
20-25°C
180 Diena
Apsaugotas nuo šviesos 4598
Stiklas
Transcutol® 10 g
HRT Supreme® >> 100 g
Tepalai   Estrone Milteliai1 g  ® = ?
Tepalai   Estriol Milteliai2 g  ® = ?
Tepalai   Estradiol Milteliai1 g  ® = ?
Tepalai   Progestérone Milteliai20 g  ® = ?
Tepalai   Testostérone Milteliai5 g  ® = ?
20-25°C
180 Diena
Apsaugotas nuo šviesos 4598

  Mentions Légales