Última actualização :
18/03/2026
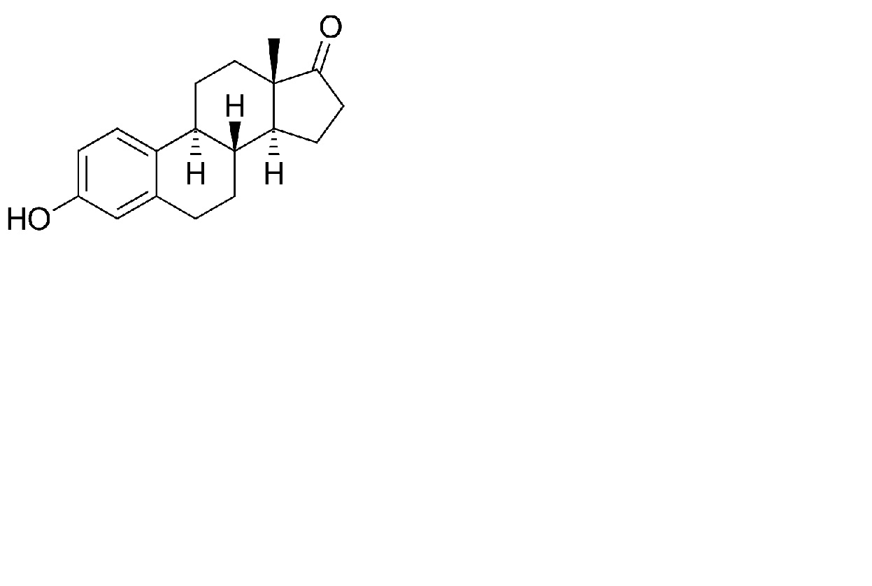
Hormônio   Estrone  
Pomadas
Estabilidade de preparações farmacêuticas Estabilidade em misturas Factores que afectam a sua estabilidade Compatibilidade Bibliografía pdf
   estrutura química  

Pomadas
Estabilidade em misturas   Pomadas   Estabilidade em misturas : Estrone     
Embalagem excipiente molécula temperatura conservação Duração da estabilidade Bibliografia
vidro
Transcutol® 10 g
Versatile® >> 100 g
Pomadas   Estrone pó1 g  ® = ?
Pomadas   Estriol pó2 g  ® = ?
Pomadas   Estradiol pó1 g  ® = ?
Pomadas   Progestérone pó20 g  ® = ?
Pomadas   Testostérone pó5 g  ® = ?
2-8°C
180 dia
ao abrigo da luz 4598
vidro
Transcutol® 10 g
Fitalite® >> 100 g
Pomadas   Estrone pó1 g  ® = ?
Pomadas   Estriol pó2 g  ® = ?
Pomadas   Estradiol pó1 g  ® = ?
Pomadas   Progestérone pó20 g  ® = ?
Pomadas   Testostérone pó5 g  ® = ?
2-8°C
180 dia
ao abrigo da luz 4598
vidro
Transcutol® 10 g
HRT Supreme® >> 100 g
Pomadas   Estrone pó1 g  ® = ?
Pomadas   Estriol pó2 g  ® = ?
Pomadas   Estradiol pó1 g  ® = ?
Pomadas   Progestérone pó20 g  ® = ?
Pomadas   Testostérone pó5 g  ® = ?
2-8°C
180 dia
ao abrigo da luz 4598
vidro
Transcutol® 10 g
Versatile® >> 100 g
Pomadas   Estrone pó1 g  ® = ?
Pomadas   Estriol pó2 g  ® = ?
Pomadas   Estradiol pó1 g  ® = ?
Pomadas   Progestérone pó20 g  ® = ?
Pomadas   Testostérone pó5 g  ® = ?
20-25°C
180 dia
ao abrigo da luz 4598
vidro
Transcutol® 10 g
Fitalite® >> 100 g
Pomadas   Estrone pó1 g  ® = ?
Pomadas   Estriol pó2 g  ® = ?
Pomadas   Estradiol pó1 g  ® = ?
Pomadas   Progestérone pó20 g  ® = ?
Pomadas   Testostérone pó5 g  ® = ?
20-25°C
180 dia
ao abrigo da luz 4598
vidro
Transcutol® 10 g
HRT Supreme® >> 100 g
Pomadas   Estrone pó1 g  ® = ?
Pomadas   Estriol pó2 g  ® = ?
Pomadas   Estradiol pó1 g  ® = ?
Pomadas   Progestérone pó20 g  ® = ?
Pomadas   Testostérone pó5 g  ® = ?
20-25°C
180 dia
ao abrigo da luz 4598

  Mentions Légales