Last update :
27/11/2025
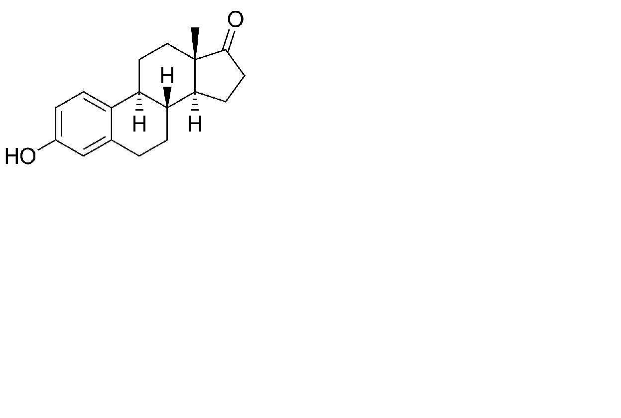
Hormone   Estrone  
Ointments
Stability of pharmaceutical preparations Stability of mixtures Factors which affect stability Compatibility References pdf
   Chemical structure  

Ointments
Stability of mixtures   Ointments   Stability of mixtures : Estrone     
Container excipient Compound Temperature Storage Duration of stability References
Glass
Transcutol® 10 g
Versatile® >> 100 g
Ointments   Estrone powder1 g  ® = ?
Ointments   Estriol powder2 g  ® = ?
Ointments   Estradiol powder1 g  ® = ?
Ointments   Progestérone powder20 g  ® = ?
Ointments   Testostérone powder5 g  ® = ?
2-8°C
180 Day
Protect from light 4598
Glass
Transcutol® 10 g
Fitalite® >> 100 g
Ointments   Estrone powder1 g  ® = ?
Ointments   Estriol powder2 g  ® = ?
Ointments   Estradiol powder1 g  ® = ?
Ointments   Progestérone powder20 g  ® = ?
Ointments   Testostérone powder5 g  ® = ?
2-8°C
180 Day
Protect from light 4598
Glass
Transcutol® 10 g
HRT Supreme® >> 100 g
Ointments   Estrone powder1 g  ® = ?
Ointments   Estriol powder2 g  ® = ?
Ointments   Estradiol powder1 g  ® = ?
Ointments   Progestérone powder20 g  ® = ?
Ointments   Testostérone powder5 g  ® = ?
2-8°C
180 Day
Protect from light 4598
Glass
Transcutol® 10 g
Versatile® >> 100 g
Ointments   Estrone powder1 g  ® = ?
Ointments   Estriol powder2 g  ® = ?
Ointments   Estradiol powder1 g  ® = ?
Ointments   Progestérone powder20 g  ® = ?
Ointments   Testostérone powder5 g  ® = ?
20-25°C
180 Day
Protect from light 4598
Glass
Transcutol® 10 g
Fitalite® >> 100 g
Ointments   Estrone powder1 g  ® = ?
Ointments   Estriol powder2 g  ® = ?
Ointments   Estradiol powder1 g  ® = ?
Ointments   Progestérone powder20 g  ® = ?
Ointments   Testostérone powder5 g  ® = ?
20-25°C
180 Day
Protect from light 4598
Glass
Transcutol® 10 g
HRT Supreme® >> 100 g
Ointments   Estrone powder1 g  ® = ?
Ointments   Estriol powder2 g  ® = ?
Ointments   Estradiol powder1 g  ® = ?
Ointments   Progestérone powder20 g  ® = ?
Ointments   Testostérone powder5 g  ® = ?
20-25°C
180 Day
Protect from light 4598

  Mentions Légales