Ultimele actualizari :
18/03/2026
Diverse   Baclofen  
Unguente
Injectabil Soluţie orală
Stabilitatea preparatelor farmaceutice Stabilitatea in amestec Factorii care influenteaza stabilitatea Compatibilitate Bibliografie pdf
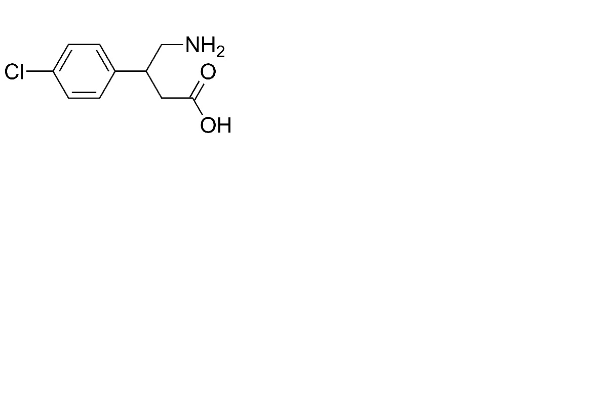
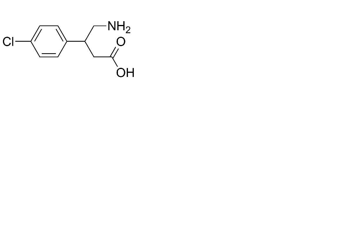
   Formula chimica  

Unguente
Stabilitatea in amestec   Unguente   Stabilitatea in amestec : Baclofen     
Continut Excipient Molecula (substanta activa) Temperatura Conservare Durata stabilității Bibiografie
neprecizat
propilen glicol
Lipoderm® >> 100 g
Unguente   Baclofen praf5 g  ® = ?
Unguente   Ketoprofene praf5 g  ® = ?
25°C
120 Ziua
Ferit de lumina 3971
neprecizat
propilen glicol >>
Lipobase® >> 100 g
Unguente   Baclofen praf5 g  ® = ?
Unguente   Ketoprofene praf5 g  ® = ?
25°C
120 Ziua
Ferit de lumina 3971

  Mentions Légales