Última actualización :
18/03/2026
Varios   Baclofen  
Preparaciones tópicas
Inyectables Solución Oral
La estabilidad de las preparaciones farmacéuticas Estabilidad en mezcla Factores que influyen sobre la estabilidad Compatibilidades Bibliografía pdf
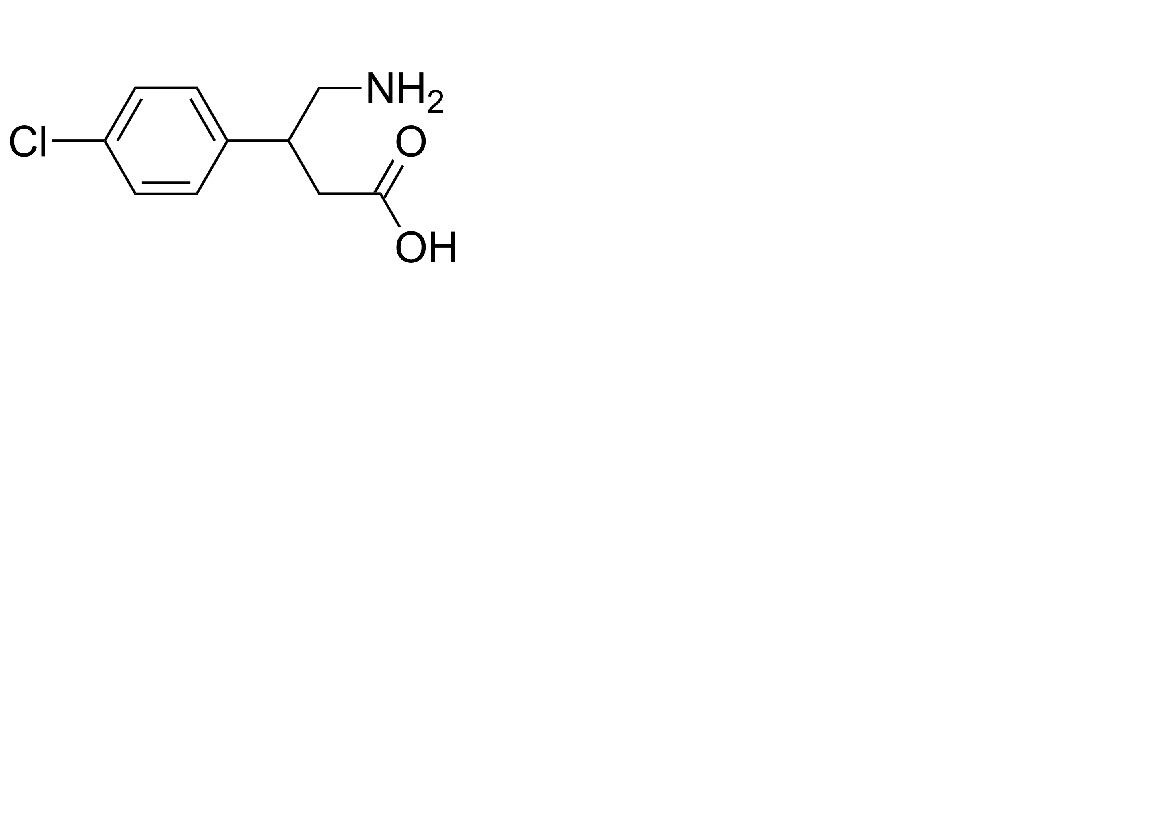
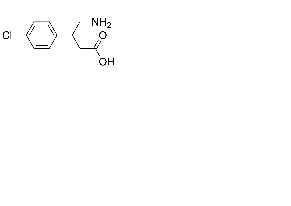
   Estructura química  

Preparaciones tópicas
Estabilidad en mezcla   Preparaciones tópicas   Estabilidad en mezcla : Baclofen     
Envase Excipiente Molécula Temperatura Conservación Duración de la estabilidad Bibliografía
No precisado
Propilenglicol
Lipoderm® >> 100 g
Preparaciones tópicas   Baclofen Polvo5 g  ® = ?
Preparaciones tópicas   Ketoprofene Polvo5 g  ® = ?
25°C
120 Día
A cubierto de la luz 3971
No precisado
Propilenglicol >>
Lipobase® >> 100 g
Preparaciones tópicas   Baclofen Polvo5 g  ® = ?
Preparaciones tópicas   Ketoprofene Polvo5 g  ® = ?
25°C
120 Día
A cubierto de la luz 3971

  Mentions Légales