Останнє оновлення :
18/03/2026
різноманітні   Baclofen  
Мазі
ін'єкція Розчин для перорального застосування
Стабільність фармацевтичних препаратів Стійкість сумішей Фактори, що впливають на стабільність Сумісність Список літератури pdf
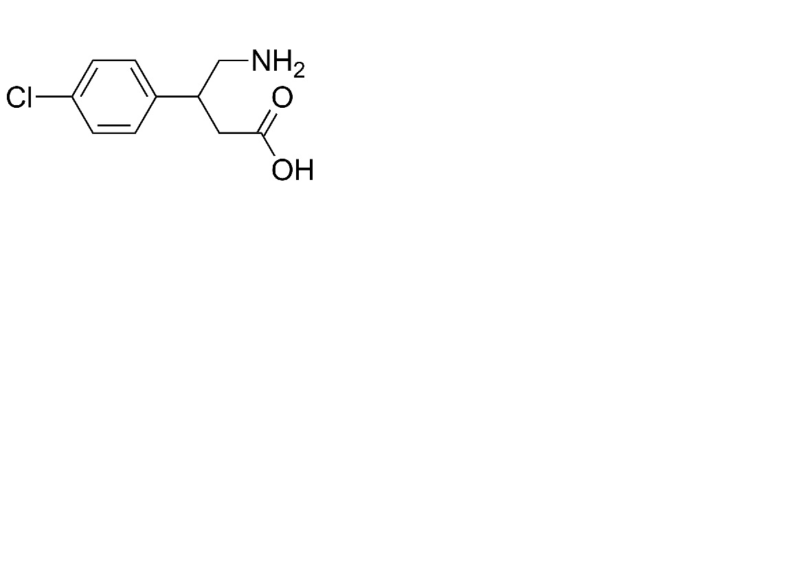
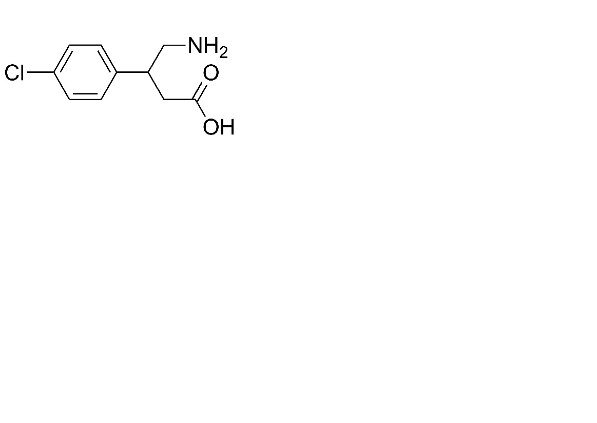
   Хімічна структура  

Мазі
Стійкість сумішей   Мазі   Стійкість сумішей : Baclofen     
Контейнер допоміжна речовина З'єднання температура Зберігання Тривалість стабільності Список літератури
Не визначено
пропіленгліколь
Lipoderm® >> 100 g
Мазі   Baclofen powder5 g  ® = ?
Мазі   Ketoprofene powder5 g  ® = ?
25°C
120 День
Берегти від світла 3971
Не визначено
пропіленгліколь >>
Lipobase® >> 100 g
Мазі   Baclofen powder5 g  ® = ?
Мазі   Ketoprofene powder5 g  ® = ?
25°C
120 День
Берегти від світла 3971

  Mentions Légales