Cập nhật lần cuối :
18/03/2026
Khác   Baclofen  
Dạng bôi da
Dạng tiêm Dung dịch uống
Tính ổn định của các chế phẩm Độ ổn định khi trộn lẫn Những yếu tố ảnh hưởng đến độ ổn định Khả năng tương thích Tài liệu tham khảo Pdf
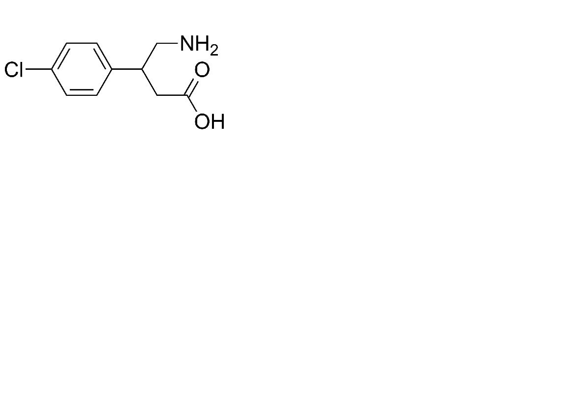
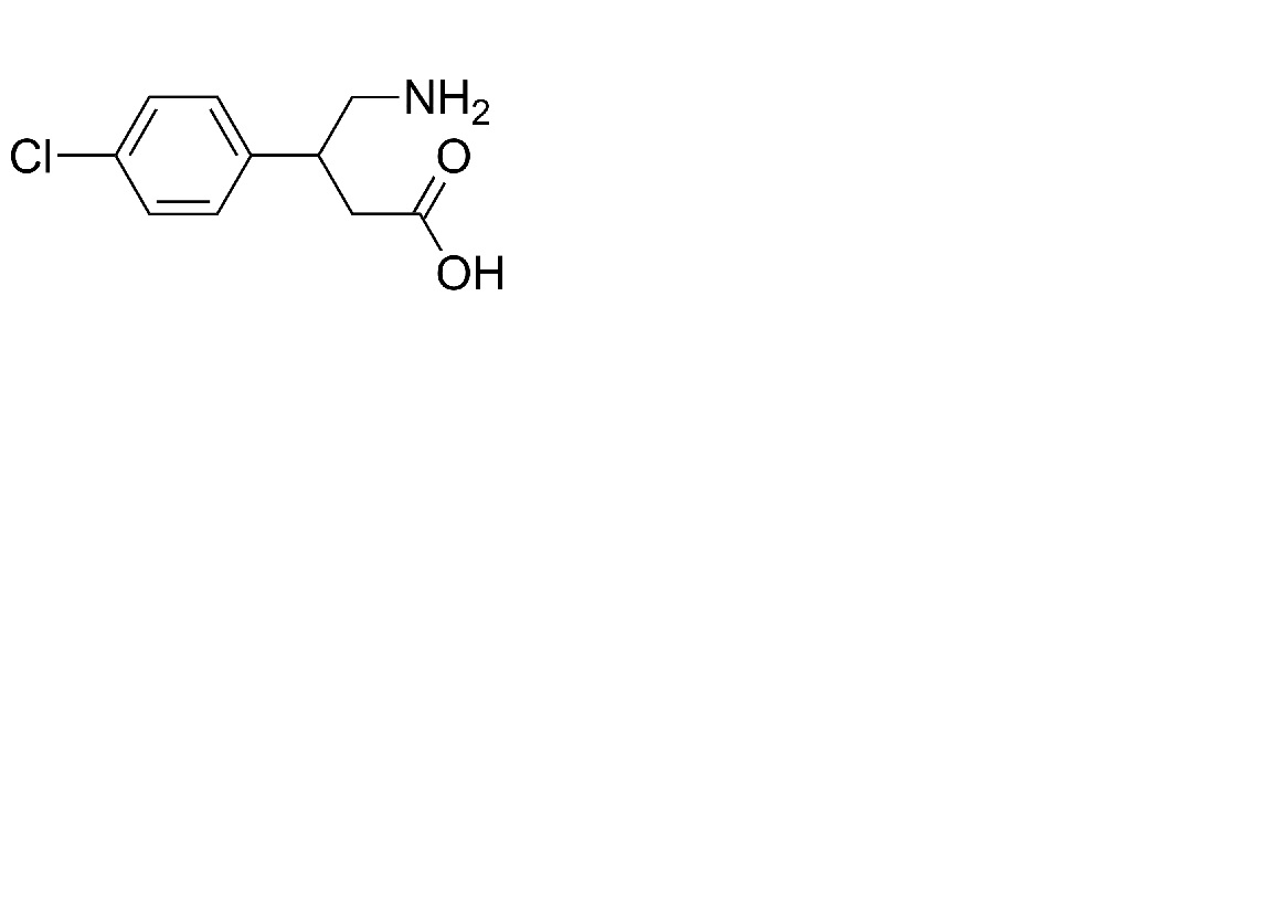
   Cấu trúc hóa học  

Dạng bôi da
Độ ổn định khi trộn lẫn   Dạng bôi da   Độ ổn định khi trộn lẫn : Baclofen     
Bao bì Tá dược Phân tử Nhiệt độ Bảo quản Thời gian ổn định Mục lục
Không rõ
Propylen glycol
Lipoderm® >> 100 g
Dạng bôi da   Baclofen Bột5 g  ® = ?
Dạng bôi da   Ketoprofene Bột5 g  ® = ?
25°C
120 Ngày
Tránh ánh sáng 3971
Không rõ
Propylen glycol >>
Lipobase® >> 100 g
Dạng bôi da   Baclofen Bột5 g  ® = ?
Dạng bôi da   Ketoprofene Bột5 g  ® = ?
25°C
120 Ngày
Tránh ánh sáng 3971

  Mentions Légales