Poslední aktualizace :
18/03/2026
Různé   Baclofen  
Masti
injekce Perorální roztok
Stabilita farmaceutických přípravků Stabilita směsí Faktory ovlivňující stabilitu Kompatibilita Odkazy pdf
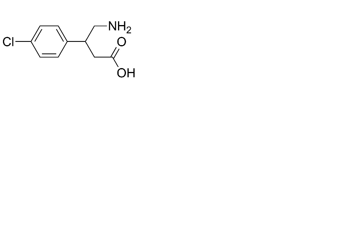
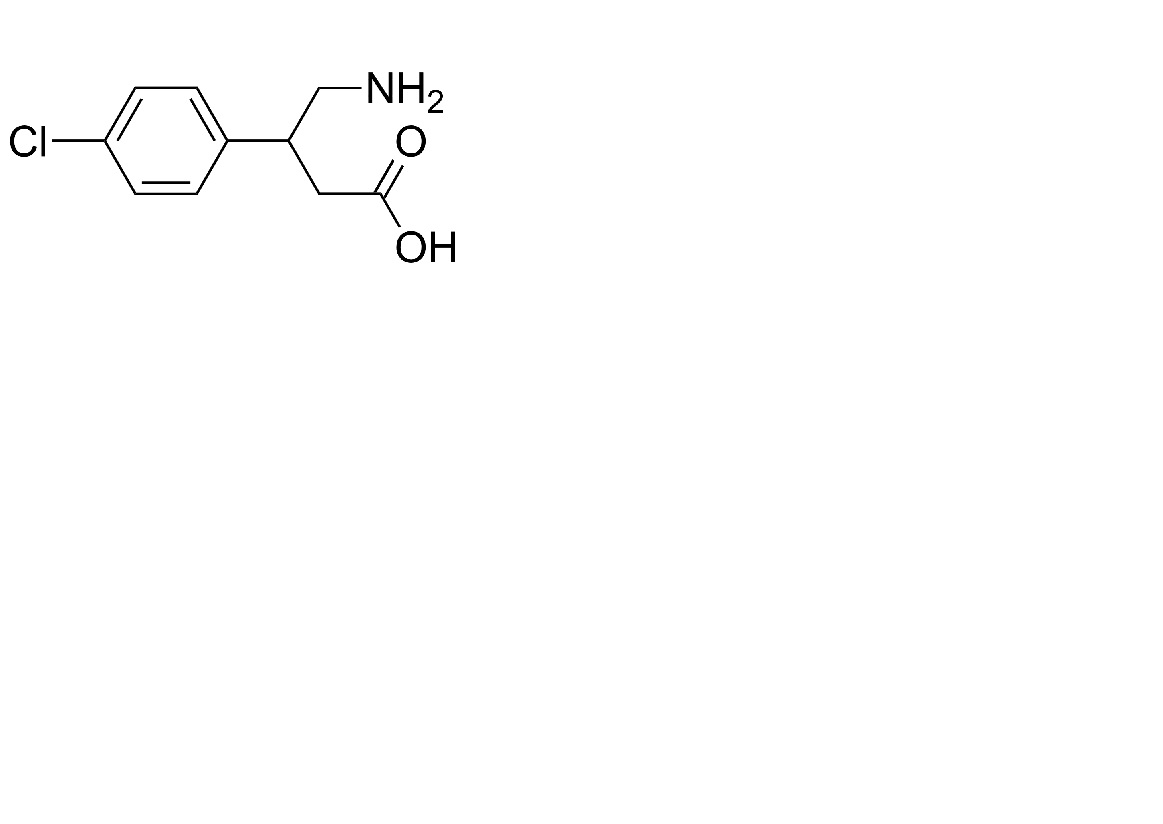
   Chemický vzorec  

Masti
Stabilita směsí   Masti   Stabilita směsí : Baclofen     
Obal Pomocné látky SlouËenina Teplota Uchovávání Trvání stability Odkazy
Nespecifikováno
propylenglykol
Lipoderm® >> 100 g
Masti   Baclofen prášek5 g  ® = ?
Masti   Ketoprofene prášek5 g  ® = ?
25°C
120 Den
Chráněno před světlem 3971
Nespecifikováno
propylenglykol >>
Lipobase® >> 100 g
Masti   Baclofen prášek5 g  ® = ?
Masti   Ketoprofene prášek5 g  ® = ?
25°C
120 Den
Chráněno před světlem 3971

  Mentions Légales