Last update :
18/03/2026
Various   Baclofen  
Ointments
injection Oral solution
Stability of pharmaceutical preparations Stability of mixtures Factors which affect stability Compatibility References pdf
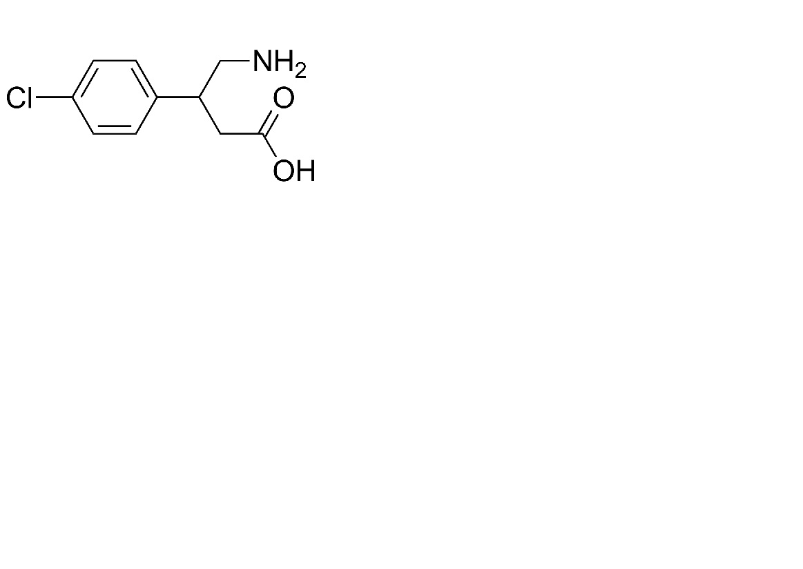
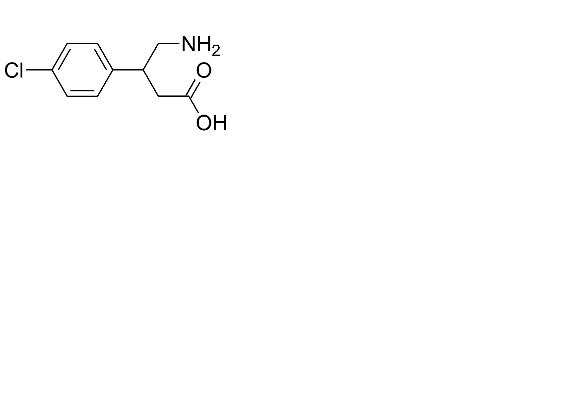
   Chemical structure  

Ointments
Stability of mixtures   Ointments   Stability of mixtures : Baclofen     
Container excipient Compound Temperature Storage Duration of stability References
Not specified
propylene glycol
Lipoderm® >> 100 g
Ointments   Baclofen powder5 g  ® = ?
Ointments   Ketoprofene powder5 g  ® = ?
25°C
120 Day
Protect from light 3971
Not specified
propylene glycol >>
Lipobase® >> 100 g
Ointments   Baclofen powder5 g  ® = ?
Ointments   Ketoprofene powder5 g  ® = ?
25°C
120 Day
Protect from light 3971

  Mentions Légales