Laatste update :
18/03/2026
Diverse   Baclofen  
zalf
injecteerbaar geneesmiddel Orale Oplossing
Stabiliteit van farmaceutische preparaten Stabiliteit in mengsels Factoren die de stabiliteit beïnvloeden Verenigbaarheden Literatuur pdf
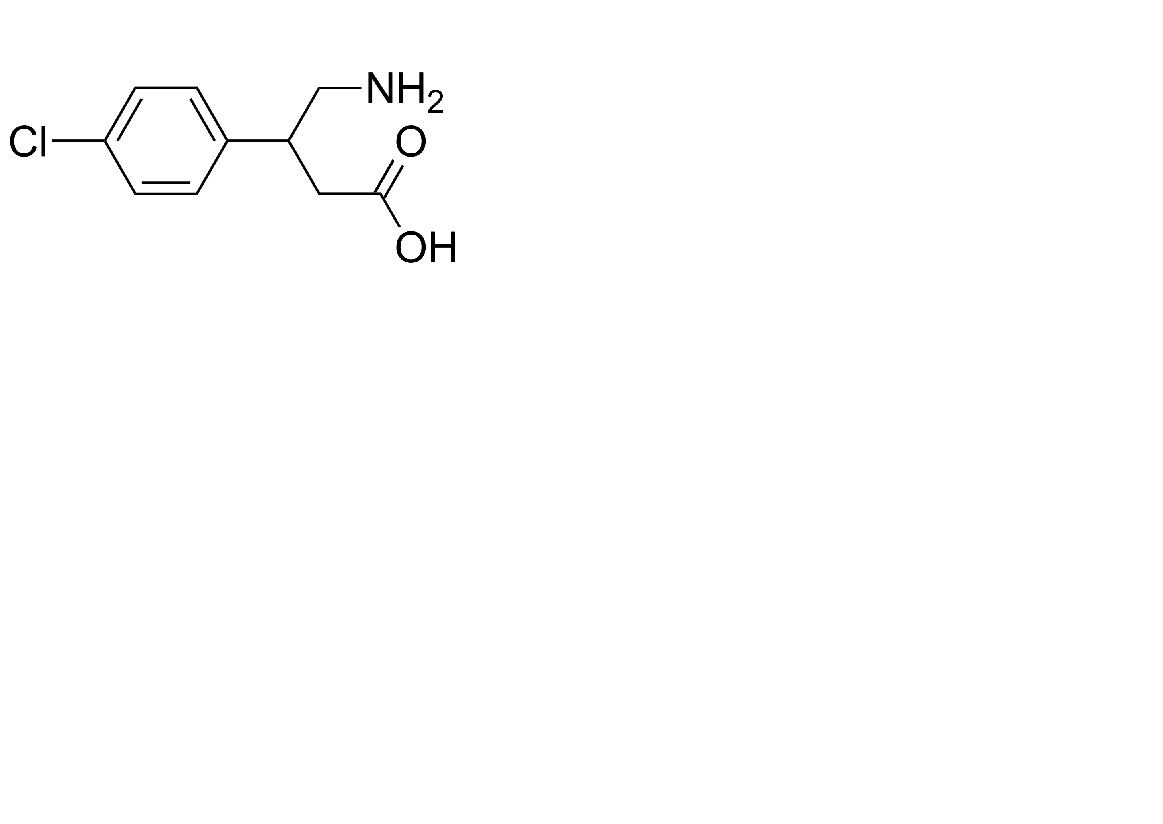
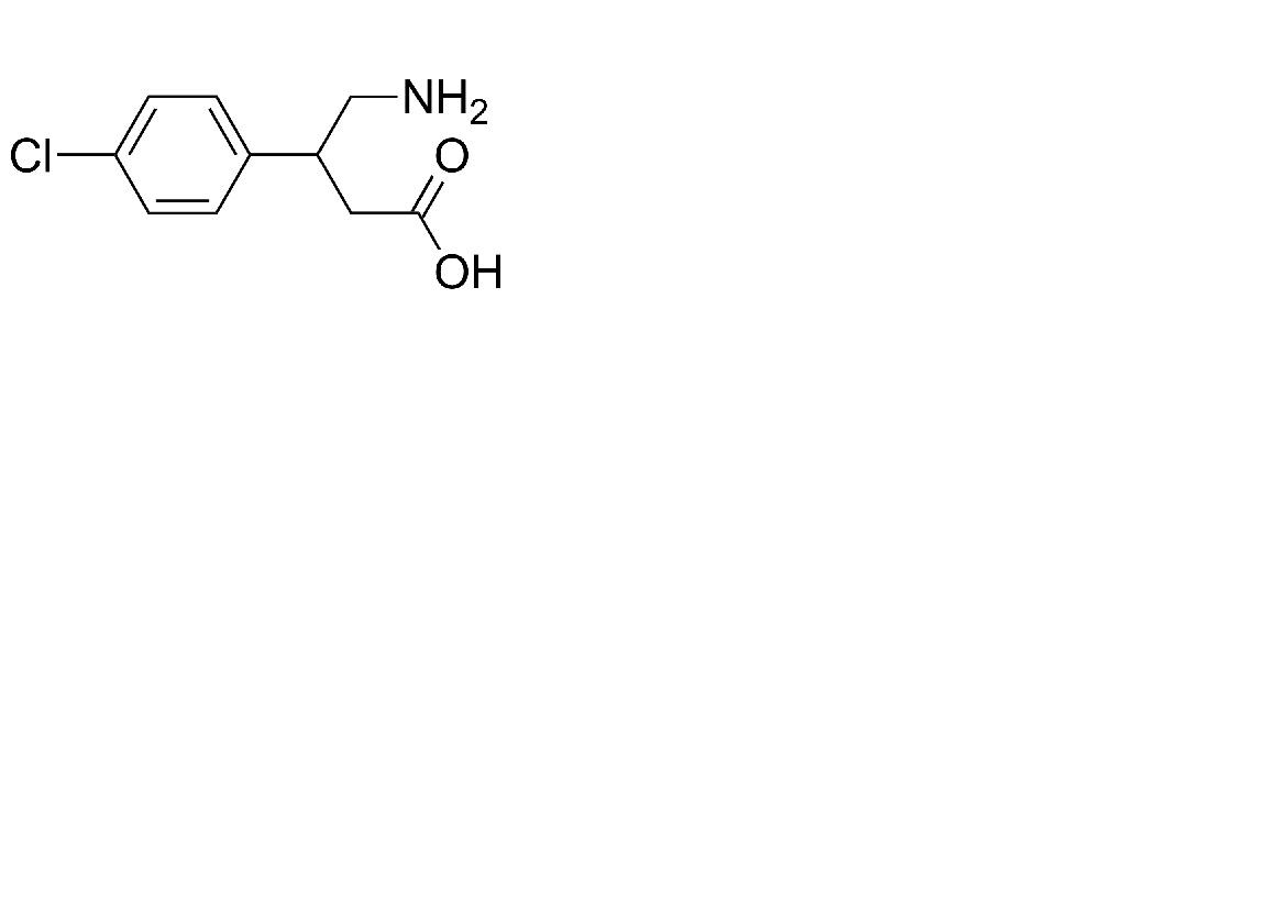
   Molecuulstructuur  

zalf
Stabiliteit in mengsels   zalf   Stabiliteit in mengsels : Baclofen     
Verpakking  ikˈsipēənt hulpstof Stof Temperatuur Bewaring Duur van de stabiliteit Literatuur
Niet gespecificeerd
Propyleenglycol
Lipoderm® >> 100 g
zalf   Baclofen poeder5 g  ® = ?
zalf   Ketoprofene poeder5 g  ® = ?
25°C
120 Dag
Buiten invloed van licht 3971
Niet gespecificeerd
Propyleenglycol >>
Lipobase® >> 100 g
zalf   Baclofen poeder5 g  ® = ?
zalf   Ketoprofene poeder5 g  ® = ?
25°C
120 Dag
Buiten invloed van licht 3971

  Mentions Légales