Zadnji put ažurirano :
18/03/2026
razno   Baclofen  
masti
injekcija oralna otopina
Stabilnost farmaceutskih pripravaka Stabilnost mješavine Stabilizacijski faktor Kompatibilnosti Bibliografija pdf
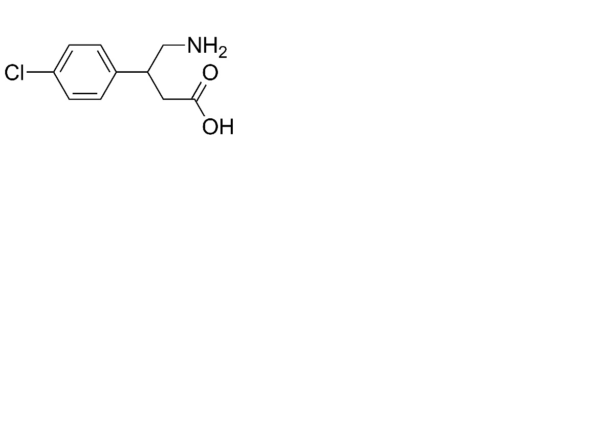
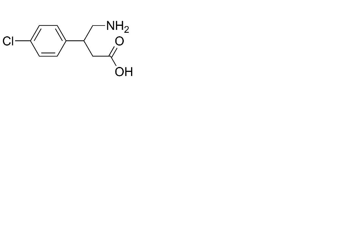
   Kemijska struktura  

masti
Stabilnost mješavine   masti   Stabilnost mješavine : Baclofen     
Kontejner pomoćna tvar molekula temperatura Konzerviranje Trajanje stabilnosti Bibliografija
nespecifičan
Propilen glikol
Lipoderm® >> 100 g
masti   Baclofen prašak5 g  ® = ?
masti   Ketoprofene prašak5 g  ® = ?
25°C
120 dan
Zaštićeno od svjetlosti 3971
nespecifičan
Propilen glikol >>
Lipobase® >> 100 g
masti   Baclofen prašak5 g  ® = ?
masti   Ketoprofene prašak5 g  ® = ?
25°C
120 dan
Zaštićeno od svjetlosti 3971

  Mentions Légales