Последнее обновление :
17/12/2025
Противовоспалительное средство   Ketoprofene  
Мази
Инъекция Раствор для перорального приёма Суппозиторий (свеча)
Стабильность фармацевтических препаратов Стабильность смесей Факторы, которые влияют на стабильность Совместимость Библиография pdf
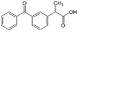
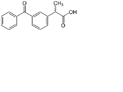
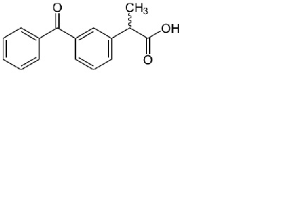
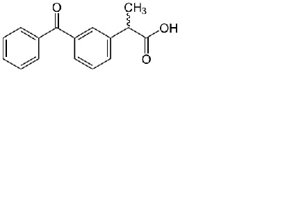
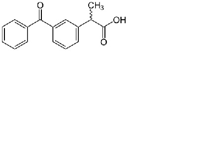
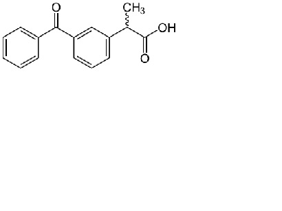
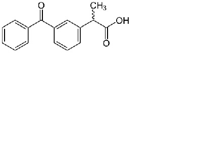
   Химическая структура  

Мази
Стабильность фармацевтических препаратов   Мази   Стабильность фармацевтических препаратов : Ketoprofene     
данных нет

  Mentions Légales