Ostatnia aktualizacja :
18/03/2026
Różne   Baclofen  
Maści
Injekcje Roztwór doustny
Stabilność preparatów farmaceutycznych Trwałość w mieszaninie Czynnik wpływający na trwałość Zgodność Bibliografia pdf
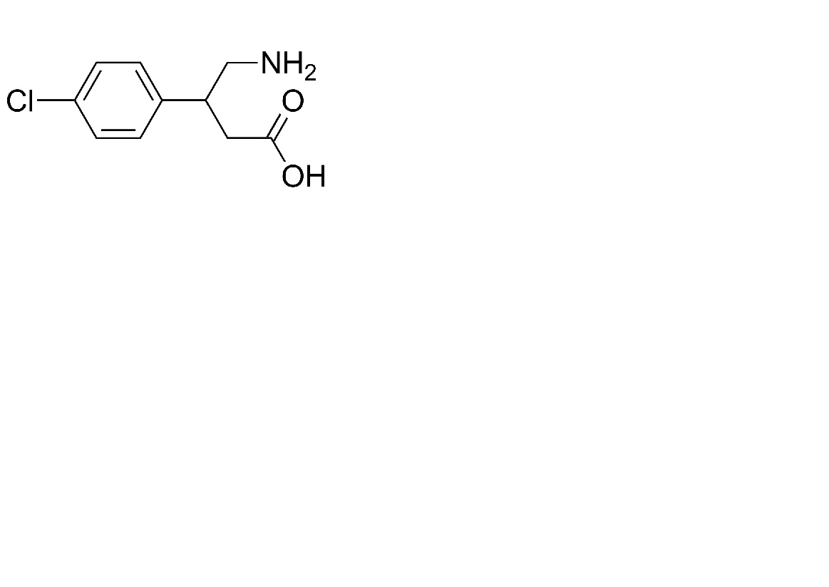
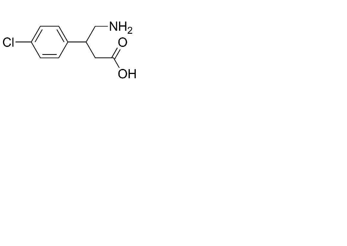
   Struktura chemiczna  

Maści
Trwałość w mieszaninie   Maści   Trwałość w mieszaninie : Baclofen     
Pojemnik Substancja pomocniczna Związek Temperatura Przechowywanie Czas trwania stabilności Bibliografia
Brak informacji
Glikol propylenowy
Lipoderm® >> 100 g
Maści   Baclofen Proszek5 g  ® = ?
Maści   Ketoprofene Proszek5 g  ® = ?
25°C
120 Dzień
Chronić od światła 3971
Brak informacji
Glikol propylenowy >>
Lipobase® >> 100 g
Maści   Baclofen Proszek5 g  ® = ?
Maści   Ketoprofene Proszek5 g  ® = ?
25°C
120 Dzień
Chronić od światła 3971

  Mentions Légales