Останнє оновлення :
18/03/2026
різноманітні   Indocyanine green  
ін'єкція
Стійкість в розчинах Стійкість сумішей Фактори, що впливають на стабільність Сумісність Шлях введення Список літератури pdf
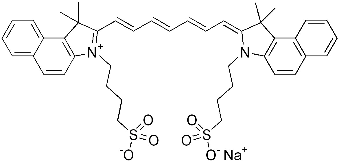
   Хімічна структура  

Торгова назва   Торгова назва     

Торгові назви є орієнтовними, а склад допоміжних речовин може бути різним залежно від країни та виробника

Infracyanine Франція
Verdye Ірландія, Іспанія, Італія, Бельгія, Німеччина, Румунія, Угорщина, Швеція
Стійкість сумішей   ін'єкція   Стійкість сумішей : Indocyanine green     
7 / 5 000 Résultats de traduction Немає даних

  Mentions Légales