Dernière mise à jour :
18/03/2026
Divers   Indocyanine green  
injectable
Stabilité des solutions Stabilité en mélange Facteur influençant la stabilité Compatibilités Voie d’administration Bibliographie pdf
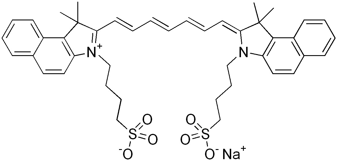
   Structure chimique  

Noms commerciaux   Noms commerciaux     

Les noms commerciaux sont donnés à titre indicatif et la composition en excipients peut être différente selon les pays et selon les laboratoires

Infracyanine France
Verdye Allemagne, Belgique, Espagne, Hongrie, Irlande, Italie, Roumanie, Suède
Stabilité en mélange   injectable   Stabilité en mélange : Indocyanine green     
Aucune donnée

  Mentions Légales