Poslední aktualizace :
18/03/2026
Įvairūs   Indocyanine green  
Įpurškimas
Tirpalų stabilumas Mišinių stabilumas Stabilumą lemiantys veiksniai Suderinamumas Leidimo būdai Bibliografija pdf
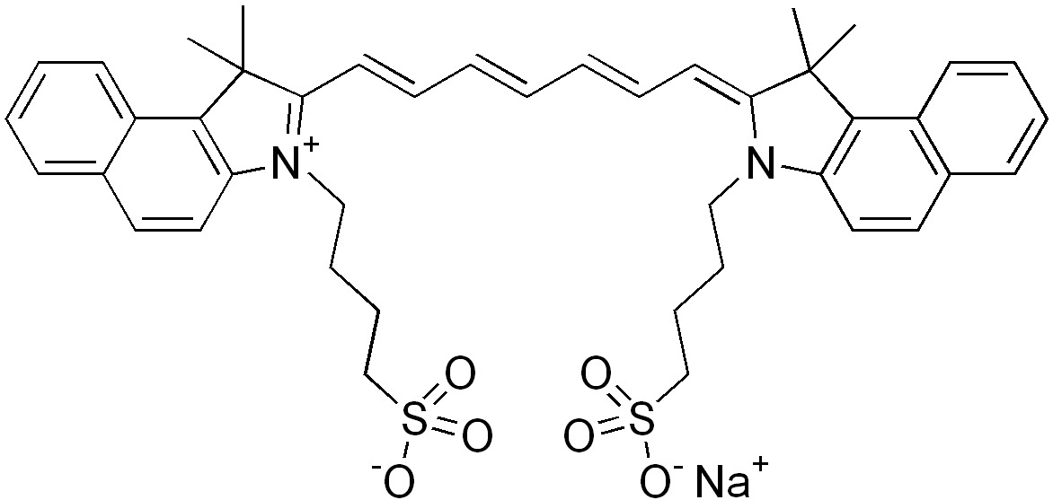
   Cheminė sandara  

Prekinis pavadinimas   Prekinis pavadinimas     

Trade names are indicative and excipients composition can be different depending on the country and manufacturers

Infracyanine Prancūzija
Verdye Airija, Belgija, Ispanija, Italija, Rumunija, Švedija, Vengrija, Vokietija
Mišinių stabilumas   Įpurškimas   Mišinių stabilumas : Indocyanine green     
Nėra duomenų

  Mentions Légales