Ultimele actualizari :
18/03/2026
Diverse   Indocyanine green  
Injectabil
Stabilitatea in solutie Stabilitatea in amestec Factorii care influenteaza stabilitatea Compatibilitate Microunde Bibliografie pdf
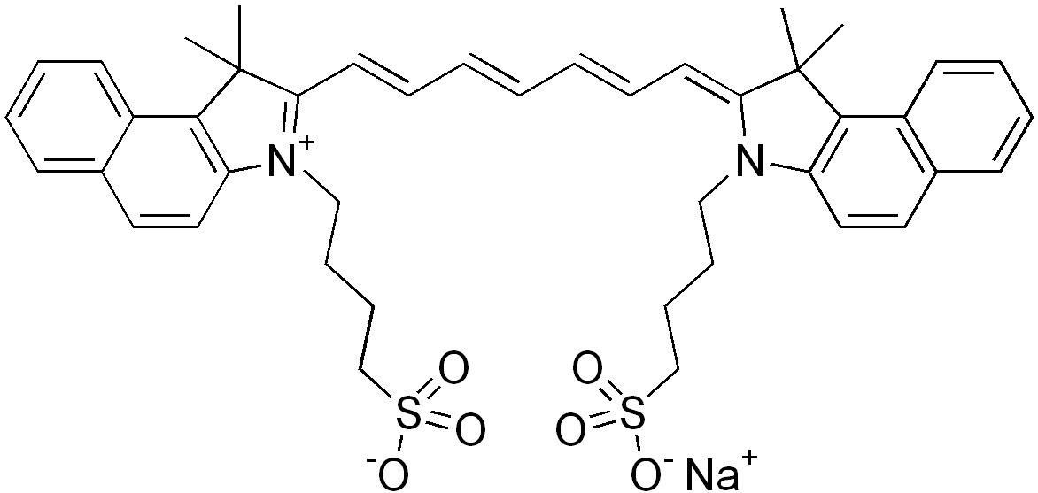
   Formula chimica  

Denumirea comerciala   Denumirea comerciala     

Trade names are indicative and excipients composition can be different depending on the country and manufacturers

Infracyanine Franta
Verdye Belgia, Germania, Irlanda, Italia, Romania, Spania, Suedia, Ungaria
Stabilitatea in amestec   Injectabil   Stabilitatea in amestec : Indocyanine green     
Absenta de date

  Mentions Légales