Ostatnia aktualizacja :
18/03/2026
Różne   Indocyanine green  
Injekcje
Trwałość roztworów Trwałość w mieszaninie Czynnik wpływający na trwałość Zgodność Sposób podania Bibliografia pdf
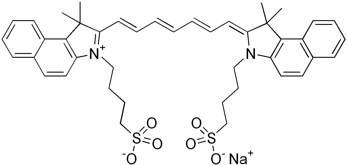
   Struktura chemiczna  

Nazwa handlowa   Nazwa handlowa     

Trade names are indicative and excipients composition can be different depending on the country and manufacturers

Infracyanine Francja
Verdye Belgia, Hiszpania, Irlandia, Niemcy, Rumunia, Szwecja, Węgry, Włochy
Trwałość w mieszaninie   Injekcje   Trwałość w mieszaninie : Indocyanine green     
Brak danych

  Mentions Légales