Zadnji put ažurirano :
18/03/2026
razno   Indocyanine green  
injekcija
Stabilizacija rješenja Stabilnost mješavine Stabilizacijski faktor Kompatibilnosti način davanja lijeka Bibliografija pdf
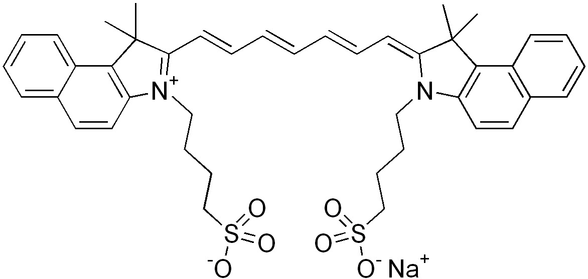
   Kemijska struktura  

Nekomercijalni   Nekomercijalni     

Zaštićeni nazivi su indikativni i sastav ekscipijensa može biti različit ovisno o državi i laboratorijima

Infracyanine Francuska
Verdye Belgija, Irska, Italija, Madžarska, Njemačka, Rumunjska, Španjolska, Švedska
Stabilnost mješavine   injekcija   Stabilnost mješavine : Indocyanine green     
bez podataka

  Mentions Légales